网站首页  词典首页


请输入您要查询的字词:

 

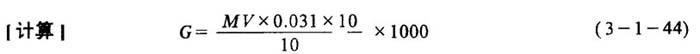
字词 黑液残碱的测定计算
类别 中英文字词句释义及详细解析
释义 黑液残碱的测定计算

[测定方法]用移液管吸取10ml黑液于100ml容量瓶中,加入10m110%BaCl2溶液使木素沉淀,同时使碳酸钠及亚硫酸钠沉淀。用蒸馏水稀释至刻度,摇匀静置。用移液管吸取上部清液10ml,以甲基橙为指示剂(如系烧碱法可用酚酞为指示剂),用0.1M盐酸标准溶液滴定至由浅黄色变为橙红色即为终点(用外指示剂或试纸协助定终点)。

式中 G-黑液残碱量(g/L)(以Na2O计)

M、V-盐酸标准溶液的摩尔浓度(mol/L)及体积(m1)

其它同上

随便看

 

离鸟网收录3541549条中英文词条,其功能与新华字典、现代汉语词典、牛津高阶英汉词典等各类中英文词典类似,基本涵盖了全部常用中英文字词句的读音、释义及用法,是语言学习和写作的有利工具。

 

Copyright © 2004-2024 vtrois.com All Rights Reserved
更新时间:2026/4/8 22:38:24