网站首页  词典首页


请输入您要查询的字词:

 

字词 黑骨头
类别 中英文字词句释义及详细解析
释义 黑骨头

【概况】:

异名 飞仙藤(《滇南本草》、《植物名实图考》),滇杠柳(《全国中草药汇编》),柳叶过山龙(《贵州草药》),达风藤、青蛇胆、黑骨藤、青香藤、黑龙骨(云南),小黑牛、铁散沙(广西)。

基源 为萝藦科杠柳属植物黑龙骨的根或全株。

原植物 黑龙骨Periploca forrestii Schltr.,又名西南杠柳(俗称)。

历史 飞仙藤始载于《滇南本草》,谓:“飞仙藤,生石岩上,叶似柳叶,开白花。”后《植物名实图考》谓;“飞仙藤生云南石岩上,柔蔓细枝,长叶如柳。”并有附图,可认为是本种。

形态 藤状灌木,长达10m,具乳汁,多分枝,全株无毛。

叶革质,披针形,长3.5~7.5cm,宽5~10mm,顶端渐尖,基部楔形,中脉两面略凸起,侧脉纤细,密生,几平行,两面扁平,在叶缘前连结成1条边脉;叶柄长1~2mm。聚伞花序腋生,著花1~3朵;花序梗和花梗柔细;花小,直径约5mm,黄绿色;花萼裂片卵圆形,长1.5mm;花冠近辐状,花冠筒短,裂片长圆形,长2.5mm,不反折;副花冠丝状;花粉器匙形,四合花粉藏在载粉器内;雄蕊著生于花冠基部,花丝北部与副花冠裂片合生,花药彼此粘生,包围并粘在柱头上。蓇葖双生,长圆柱形,长达11cm,直径5mm;种子长圆形,扁平,顶端具绢质种毛;种毛长3cm。花期3~4月,果期6~7月。(图见《中国植物志》.第63卷.274页.图版94∶7)

生境与分布 生于海拔2000m以下的山地疏林向阳处或荫湿的杂木林下或灌丛中。分布广西、四川、青海、贵州、云南、西藏。

。【生药】:

采集 秋、冬季采收根或全株,洗净,切片,晒干。

【化学】:

树皮含滇杠柳素(Forrestin,)。

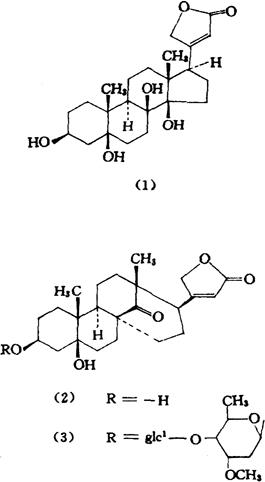
从根茎中分得一个强心甙元8-羟基杠柳甙元(8-Hydroxyperiplogenin,即3β,5β,8β,14β-四羟基-强心甾-20(22)-烯内酯)(1),同时还获得杠柳甙元(Periplogenin),杠柳甙(Periplocin)、北五加皮甙E(Glycoside E of periploca sepium)、胡萝卜甙和熊果酸[2]。从根茎中还分得两个新强心甾内酯滇杠柳甙元A(Periforgenin A)(2)和滇杠柳甙I(Periforoside I)(3)。化学式分别为3β,5β-二羟基-15(14→8)移-(8S)-14-酮-强心甾-20(22)-烯内酯和滇杠柳甙元A-3-O-β-D-葡萄吡喃糖基(1→4)-β-D-磁麻吡喃糖甙[3]

参考文献 [1] 南京药学院.中草药学.中册.江苏科学技术出版社,1987∶887 [2] 云南植物研究 1989;11(4)∶465 [3] 化学学报 1990;48(7)∶714

。【药理】:

本品所提取的滇杠柳甙对在体蛙心及兔心、兔心电图及离体豚鼠心脏实验,表明有强心作用,其强心作用的特点类似G-毒毛旋花子甙。对鸽的平均致死量为5.9±1mg/kg。

参考文献 药学学报 1964;11(2)∶75

【药性】:

性味 ❶ 《昆明民间常用草药》:“苦,凉。有小毒。”
❷ 《全国中草药汇编》:“苦、辛,温。有毒。”

功效 通经络,祛风湿,活血,消炎。

主治 跌打损伤,风湿关节痛,月经不调,口腔炎,乳腺炎。 ❶ 《广西药用植物名录》:“治跌打损伤,伤寒,痨伤,疟疾,肚痛。”
❷ 《昆明民间常用草药》:“治风湿跌打疼痛,热性疮毒,乳腺炎,咽喉炎,口腔炎。”
❸ 《云南中草药选》:“治风湿性关节炎,跌打损伤,胃痛,消化不良,闭经,月经不调。”
❹ 《贵州药用植物名录》:“治劳咳。”
❺ 《全国中草药汇编》:“主治风湿性关节炎,跌打损伤,乳腺炎,闭经,月经不调;外用治骨折。”

用法用量 内服:煎汤,3~6g;或浸酒。外用:煎水洗或研末调敷。

使用注意 《云南中草药》:“肝炎,消化道溃疡患者忌服。一日量不宜超过10g,服过量出现抽搐,甚至死亡。”

【临床应用】:

方选和验方 《贵州草药》:“治风湿关节痛:黑骨藤15g,大青藤根9g。泡酒服,并取温酒擦患处。”

单方应用 ❶ 《贵州草药》:“治跌打伤后筋骨疼痛:黑骨藤9g。煎酒温服。”
❷ 《贵州草药》:“治劳咳:黑骨藤9~15g。泡酒服。”

随便看

 

离鸟网收录3541549条中英文词条,其功能与新华字典、现代汉语词典、牛津高阶英汉词典等各类中英文词典类似,基本涵盖了全部常用中英文字词句的读音、释义及用法,是语言学习和写作的有利工具。

 

Copyright © 2004-2024 vtrois.com All Rights Reserved
更新时间:2026/4/8 6:47:17