网站首页  词典首页


请输入您要查询的字词:

 

字词 7-10法
类别 中英文字词句释义及详细解析
释义 7-10法

计算本金翻番的方法之一。

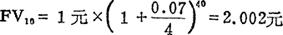
这种方法表明:利率为7%,本金翻番需10年;利率为10%,本金加倍需要7年。通过查一元的终值表可知:1元在10年末按7%利率计算的本利和为1.97元;1元在7年末按利率10%计算的本利和则为1.95元。然而,如果每年计息4次,1元本金按利率7%计算,在10年末的本利和将为:

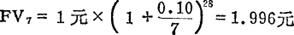
若是每年计息4次,一元本金按利率10%计算,在7年末的本利和则为;

可见,“7-10法”在每年计息1次的情况下只能提供大致的答案,而在一年计息4次的情况下才能提供较为准确的答案。

随便看

 

离鸟网收录3541549条中英文词条,其功能与新华字典、现代汉语词典、牛津高阶英汉词典等各类中英文词典类似,基本涵盖了全部常用中英文字词句的读音、释义及用法,是语言学习和写作的有利工具。

 

Copyright © 2004-2024 vtrois.com All Rights Reserved
更新时间:2026/4/7 18:31:52