网站首页  词典首页


请输入您要查询的字词:

 

字词 齐培丙醇
类别 中英文字词句释义及详细解析
释义 齐培丙醇

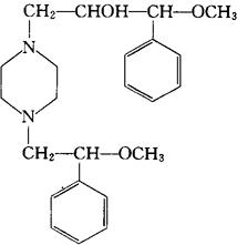
C23H32N2O3=384.52

CAS-34758-83-3

α-(α-甲氧苄基)-4-(β-甲氧苯乙基)-1-哌嗪乙醇。

α-(α-Methoxybenzyl)-4-(β-methoxyphenethyl)-1-piperazineethanol.

4-(2-甲氧-2-苯乙基)-α-(甲氧苯甲基)-1-哌嗪乙醇。

4-(2-Methoxy-2-phenylethyl)-α-(methoxyphenylmethyl)-1-piperazineethanol.

镇咳药。

Zipeprol,CERM 3024.

INN,DCF,USAN,MI.

随便看

 

离鸟网收录3541549条中英文词条,其功能与新华字典、现代汉语词典、牛津高阶英汉词典等各类中英文词典类似,基本涵盖了全部常用中英文字词句的读音、释义及用法,是语言学习和写作的有利工具。

 

Copyright © 2004-2024 vtrois.com All Rights Reserved
更新时间:2026/4/9 10:45:32