网站首页  词典首页


请输入您要查询的字词:

 

字词 齐次函数和欧拉公式
类别 中英文字词句释义及详细解析
释义 齐次函数和欧拉公式

对一个定义在非负卦限上的n元函数f(x1,…,xn),如果对某一个整数r及每一个t>0,都有等式f(tx1,…,txn)=trf(x1,…,xn)成立,则称f(x1,…,xn)为r阶齐次函数。

在经济学中的消费者需求函数x(p,y)是零阶齐次,常见的柯布-道格拉斯生产函数f(L,K)=LαKβ是(α+β)阶齐次。

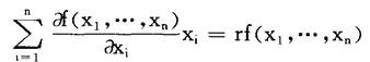
如果f(x1,…,xn)是r阶齐次的及可微的,则对任何(x1,…,xn)≥0,下式成立:

这就是欧拉公式。

例如设f(L,K)是一个一阶齐次生产函数,由欧拉公式有:

它的经济意义是,当生产函数是一阶齐次时,各种投入的边际产量乘其投入量之和,正好等于总产量。

随便看

 

离鸟网收录3541549条中英文词条,其功能与新华字典、现代汉语词典、牛津高阶英汉词典等各类中英文词典类似,基本涵盖了全部常用中英文字词句的读音、释义及用法,是语言学习和写作的有利工具。

 

Copyright © 2004-2024 vtrois.com All Rights Reserved
更新时间:2026/4/9 7:52:59