网站首页  词典首页


请输入您要查询的字词:

 

字词 齿轮泵参数选择
类别 中英文字词句释义及详细解析
释义 齿轮泵参数选择

额定压力 齿轮泵的额定压力应为液压系统安全阀开启压力的1.1~1.5倍。

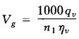
公称流量 选用齿轮泵公称排量前,先根据系统所需流量qv和初选的齿轮泵转速n1计算参考值,即

式中 qv单位是L/min,n1单位是r/min,ηv为齿轮泵的容积效率,可根据产品样本选取或取为0.9。

转速 根据选定的齿轮泵公称排量Vg和系统所需流量qv,计算出齿轮泵的实际转速,在选用时尽可能接近产品的额定转速。

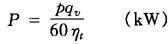
驱动功率 在齿轮泵公称排量、转速(在一定范围内变化的可取其最大工作压力时的工作转速)和工作压力确定以后,可以根据下式计算所需输入功率

式中 p——工作压力(MPa);

qv——(L/min);

ηt——总效率,可在0.85左右选取。

随便看

 

离鸟网收录3541549条中英文词条,其功能与新华字典、现代汉语词典、牛津高阶英汉词典等各类中英文词典类似,基本涵盖了全部常用中英文字词句的读音、释义及用法,是语言学习和写作的有利工具。

 

Copyright © 2004-2024 vtrois.com All Rights Reserved
更新时间:2026/4/8 20:32:58