网站首页  词典首页


请输入您要查询的字词:

 

字词 9.光学零件气泡度(GB 7661-87)
类别 中英文字词句释义及详细解析
释义 9.光学零件气泡度(GB 7661-87)

凡是光学零件,一般均应规定其气泡度。GB7661-87标准规定了光学零件气泡度,该标准适用于玻璃以及其他光学材料制造的任何光学零件。

9.1 定义

光学零件气泡度是指光学零件内部允许气泡存在的程度,即规定光学零件内允许存在气泡的大小和个数,或允许从光学零件在光学系统中,光束通过的方向观察气泡显现的总面积的大小。光学零件内的结石和其他类似杂质作为气泡计算,但与气泡、结石或其他类似杂质相连接的条纹,不作气泡计算,仍作为条纹检验。

9.2 标注方法

9.2.1 光学零件气泡度标注在光学零件图中“对零件的要求”栏内

9.2.2 气泡的尺寸一律以毫米为单位,在记号中不再标出单位

9.2.3 根据光学零件使用情况的不同,光学零件气泡度,分四种方法标注

9.2.3.1 第一种标注方法规定气泡的大小不限数量,或限定数量。

(a)“q=0”。表示要求零件整个有效孔径范围内不得出现气泡。

(b)“q=0.1”。表示允许零件整个有效孔径范围内,有直径不大于0.1mm的气泡。数量不限。

(c)“q=0.2×3”。表示允许零件整个有效孔径范围内,有直径不大于0.2mm的气泡3个。

(d)“q=0.2×3+0.1”。表示允许零件整个有效孔径范围内,有直径不大于0.2mm的气泡3个,气泡直径不大于0.1mm的不限数量。

(e)“q=0.1×1/φ5”。表示允许零件整个有效孔径范围内,任一部位的直径为5mm的圆的范围内,有直径不大于0.1mm的气泡一个。

9.2.3.2 第二种标注方法规定分区限制气泡的大小和数量。

“q=(φ2)0+(φ10)0.01×3+0.02×5”。表示以零件的有效孔径,划出两个同心圆环来分区,直径为2mm范围内的中心区不允许有气泡,第二区直径为2mm到直径为10mm的范围内,允许有不大于0.01mm的气泡不多于3个,最外区(直径为10mm以外)允许有不大于0.02mm的气泡不多于5个。

9.2.3.3 第三种标注方法规定气泡的总面积。

(a)“q=φ0.6”。表示允许零件整个有效孔径范围内,气泡的总面积不大于直径为0.6mm的圆的面积。

(b)“q=φ0.4/φ8”。表示允许零件整个有效孔径范围内,任一部位的直径为8mm的圆的范围内,气泡的总面积不大于直径为0.4mm的圆的面积。

9.2.3.4 第四种标注方法,既规定气泡的总面积,仅限定气泡的大小,

(a)“q=φ0.6〔0.2〕”。表示要求零件整个有效孔径范围内,任一个气泡的直径不得大于0.2mm。所有气泡的总面积不大于直径为0.6mm的圆的面积。

(b)“q=φ0.3〔0.1〕/φ6”。表示要求零件整个有效孔径范围内,任一部位的直径为6mm的圆的范围内,气泡的直径不大于0.1mm,所有气泡的总面积不大于直径为0.3mm的圆的面积。

9.2.4 特殊规定

除上述标注方法外,根据具体情况,允许对光学零件气泡度作其他特殊规定,其文字表述写在光学零件图的“技术要求”栏内。

9.3 光学零件气泡度和毛坯气泡度的给定

给定光学零件气泡度时,首先应保证光学系统性能的要求,然后根据零件的需要和毛坯提供的可能性,给定毛坯气泡度。

毛坯的气泡度,按GB903-87《无色光学玻璃》规定,标注在光学零件图中“对材料的要求”栏内。

9.3.1 光学零件气泡度的给定

光学零件气泡度的给定,从三个方面考虑。

在成像面上或成像面附近的光学零件应没有气泡,或者是限制气泡的大小,使光学仪器在观察时看不到或不易察觉气泡,实在做不到时则限制其出现的程度。

不在成像面上及其附近的光学零件,应限制气泡的挡光面积(同时就限制它散射的杂散光),使不致呈现黑影。对于要求外观上不希望看到较大气泡时,可根据需要和可能限制气泡的直径和数量。

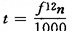
9.3.1.1 在目视光学系统成像面±1视度范围内的光学零件(1)(如分划板、集光镜、靠近像平面的棱镜和目镜透镜等),按以下公式计算允许的气泡直径

dp=0.0003f′ (2-1)式中dp为允许的气泡直径;f为成像面后面的光学系统的组合焦距。

如计算出的dp值小于0.005mm,即作为不允许有气泡看待。

如计算出的dp值大于0.005mm时,小数点后只取一位有效数字。

9.3.1.2 对分划板的气泡度给定,除了可根据9.3.1.1计算外,还可以按产品技术条件或通用技术条件对视场清洁度的要求计算,以9.2.3.2的标注方法给定。气泡度的给定值应高于产品技术条件的要求。

9.3.1.3 对不在成像面上及其附近的光学零件,给定气泡度时,以气泡挡光面积与光束截面积之比T计算;T值的选取,可根据该零件通过的轴向光束直径的最小值φg,以及所用光学材料可能达到的气泡度来确定。

如无特殊要求,T和值一般可由表2-32查出。

表2-32 T和

表中的光学材料能达到的气泡度A、B、C、D、E只是定性排列由高到低的顺序,并不规定该气泡度一定对应于什么数量,既可看作是每公斤允许的气泡个数,也可以看作是单位体积内允许的气泡面积。

有了光束直径φg和定出值后,就可以按下式算出允许的气泡总面积的直径φp:

计算出的φp与φg值在给定气泡度时均应经过凑整。

φg往数值小的方向凑整,小数位只留一位有效数字。例如:算出φp=0.05831,则凑整为0.05。而φg往数值大的方向凑整,尽可能凑为整数,若光路计算出为小数,则凑整为一位有效数字,必要时也可凑整为1。

例如:光路计算中,φp=9.105,则凑整为10;

光路计算中,φg=0.6321,可凑整为0.7或1,根据材料质量情况而定。

φp和φg之值经凑整后以9.2.3.4b项的形式“q=φp/φg”给定。若φg就是零件的有效孔径,则φg不必写出,也不用凑整,而以9.2.3.4a项的形式“q=φp”给定。

9.3.1.4 对外观审视时容易见到气泡的光学零件,从审美的观点出发,在已保证光学性能的条件下,还可以将气泡的直径限制得更小、数量限制得更少。根据用户或设计人员的意愿,以9.2.3.1和9.2.3.4的方式给定,但应适当注意光学材料供应的可能性和经济性。

9.3.1.5 内部不通过光线的光学零件(例如外反射的反射镜),一般不必规定零件的气泡度,但应根据出现磨通的气泡影响工作面表面疵病的可能性来给定毛坯气泡度。

9.3.2 毛坯气泡度的给定

毛坯气泡度的给定是为了保证光学零件,能满足零件气泡度的要求,从而保证光学性能。同时考虑到毛坯能供应所需质量的可能性和经济性,

9.3.2.1 光学零件气泡度要求的气泡直径小于0.05mm时,对毛坯的要求给定为能提供的最高等级。

9.3.2.2 对气泡度按直径大小和数量要求的光学零件,毛坯的“类”应定为与零件要求的气泡直径dp最接近而不大于零件的气泡直径。

设一个零件允许的气泡数为N0(未规定数量的N0=1),一个零件的重量为M千克,则一千克光学材料允许的气泡数N按下式计算:

以求出的N值与毛坯气泡度的级(每千克气泡数)比对,以最接近或最好小于N的级给定。

若毛坯气泡度以每100cm3范围内所含气泡总面积分级,设一个零件的体积为V0立方厘米,则毛坯每100cm3所允许的气泡冲面积S按下式计算:

以求出的S值与毛坯气泡度的级(每100cm3含气泡总面积)比对,以最接近或最好小于S的级给定。

9.3.2.3 对以“q=dp/φg”或“q=φp/φg”或“q=φp〔dp〕/φg”的方式规定气泡度的光学零件,首先以dp或与dp接近而较小的直径值规定毛坯气泡度的“类”(允许的气泡直径),若只规定φp的,则以φp作为dp来定毛坯气泡度的“类”。

设该零件的有效孔径为D0,则上述前两个标注式的零件毛坯一千克光学材料允许的气泡数N按下式计算:

使用9.2.3.4中b项的标注式时(以dp定“类”)

若毛坯气泡度以每100cm3的毛坯中所含的气泡面积分级,则毛坯每100cm3所允许的气泡总面积5按下式计算

以求出的S值与毛坯气泡度的级(每100cm3毛坯的气泡总面积)比对,以最接近或最好小于S的级给定。

9.3.2.4 以上(2-3)、(2-5)和(2-6)式中的M一般限于M小于1的情况;(2-4)和(2-7)式中的V0限于V0小于100的情况,若M大于1或V0大于100,已没有毛坯切割所引起的气泡分配问题,若所需毛坯特别大时,得特殊规定、特殊定货。

若零件较大,按比例会允许气泡总面积φp较大,为了减小气泡直径和使用气泡分散,可用“q=dp×N0”、“q=dp/φg”或“q=φp/φg”的方式给定,这里φg不是实际光束直径,只是安排任意两个气泡中心的最短距离,气泡不致密集。

9.3.2.5 计算结果,若发现零件气泡度与毛坯气泡度不能互相适应,可以调整两者的要求。

随便看

 

离鸟网收录3541549条中英文词条,其功能与新华字典、现代汉语词典、牛津高阶英汉词典等各类中英文词典类似,基本涵盖了全部常用中英文字词句的读音、释义及用法,是语言学习和写作的有利工具。

 

Copyright © 2004-2024 vtrois.com All Rights Reserved
更新时间:2026/4/8 20:17:01