网站首页  词典首页


请输入您要查询的字词:

 

字词 龚柏兹曲线
类别 中英文字词句释义及详细解析
释义 龚柏兹曲线

指适用于具有寿命周期的商品市场容量的预测方法。

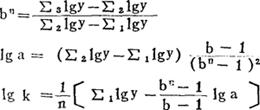
龚柏兹曲线是经常使用的一种增长曲线,它的公式是:

y=Kaat

式中K为渐近线值,t为年次。进行预测时,首先要求出K、a和b的值,然后才能求得预测值。

求解K、a和的b方法:(1)计算前,通常所取统计值的次数都是可以被3整除的数,并把统计数分为三组,每组n个统计数;(2)式中的Y值用来代表预测对象所对应的各周期的数值,并将各Y值变换为对数;(3)将第一组n个数据点的各lgy相加求得∑1lgy,然后将第二组n个数据点的lgy相加求得E2lgy,最后将第三组n个数据点的lgy相加得∑3lgy;(4)把上列数据代入以下公式,即可求得K,a和b值。

随便看

 

离鸟网收录3541549条中英文词条,其功能与新华字典、现代汉语词典、牛津高阶英汉词典等各类中英文词典类似,基本涵盖了全部常用中英文字词句的读音、释义及用法,是语言学习和写作的有利工具。

 

Copyright © 2004-2024 vtrois.com All Rights Reserved
更新时间:2026/4/7 0:16:38