网站首页  词典首页


请输入您要查询的字词:

 

字词 0.1mol/L盐酸标准溶液
类别 中英文字词句释义及详细解析
释义

0.1mol/L盐酸标准溶液


1.配制:

量取8.5ml盐酸(相对密度1.19)稀释至1000ml。摇匀备用。

盐酸体积v按下式计算:

式中:1.19——浓盐酸比重;

0.38——浓盐酸的百分含量;

G——浓盐酸的重量(g)。

2.标定及计算

称取于270~300℃灼烧至恒重的基准无水碳酸钠0.2g(准确至0.0002g)于50ml水中,加1~2滴0.1%甲基橙指示剂,用0.1mol/L盐酸滴定至呈橙红色。

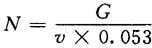
盐酸标准溶液的浓度计算

式中:G——基准无水碳酸钠量(g);

v——盐酸标准溶液用量(ml)。

随便看

 

离鸟网收录3541549条中英文词条,其功能与新华字典、现代汉语词典、牛津高阶英汉词典等各类中英文词典类似,基本涵盖了全部常用中英文字词句的读音、释义及用法,是语言学习和写作的有利工具。

 

Copyright © 2004-2024 vtrois.com All Rights Reserved
更新时间:2026/4/8 6:40:03