网站首页  词典首页


请输入您要查询的字词:

 

字词 1990年国际温标(ITS—90)的基本内容
类别 中英文字词句释义及详细解析
释义

1990年国际温标(ITS—90)的基本内容


1990年国际温标(ITS-90)从1990年1月1日起代替1968年国际实用温标(IPTS68)和1976年临时温标(EPT-76),这是国际计量委员会1989年的决议。我国从1990年7月正式执行1990年国际温标。

ITS-90文本共四节。第一节为温度单位,第二节为温标通则,第三节为温标定义,第四节为有关补充材料及T90-T68的差值。ITS-90的核心内容是规定了17个定义固定点及其温度值;规定了不同温区的四种定义方法或内插仪器;规定了多个内插和定义公式。其主要内容如下:

1.表4.2-2给出ITS-90的17个定义固定点及其温度值。其中氖(Ne)、汞(Hg)三相点,铟(In)、铝(Al)、铜(Cu)凝固点和镓(Ga)熔点均为新设置的固定点。从ITS-90文本中去掉了原IPTS-68中的氖沸点(27K),氧冷凝点(90K)和水沸点(373K)。定义固定点数目的增加,使内插公式所复现的温标更为准确。固定点的热力学赋值也有很多变化。其中金凝固点降低了0.25℃,由原来的1064.43℃变为1064.18℃,银凝固点降低了0.15℃,由原来的961.93℃变为961.78℃,锌凝固点降低了53m℃,由原来的419.58℃变为419.527℃。除水三相点(定义点)不变外,其它固定点温度值也都有变化。ITS-90中的固定点热力学温度的赋值,是当前技术测定的最准确值,比IPTS-68的赋值更接近热力学温度。图4.2-2表示出ITS-90与IPTS-68温度值的差别(t90-t68)。此图是1993年BIPM CCT公布的,修正了原ITS-90文本中的图表。

表4.2-2 ITS-90的定义固定点

注:[a]除3He外,其它物质均为自然同位素成分。e-H2为正、仲分子态处于平衡浓度时的氢。

[b]对于这些不同状态的定义,以及有关复现这些不同状态的建议,可参阅“ITS-90补充资料”。表中各符号含义为:

V:蒸汽压点;

T:三相点,在此温度下,固、液和蒸汽相呈平衡;

G:气体温度计点;

M、F:熔化点和凝固点,在101325Pa压力下,固、液相的平衡温度;

Wr(T90):参考铂电阻温度计电阻比。

图4.2-2 温度差值(t90-t68)/℃

2.四种定义方法或内插仪器

(1)0.65K-5.0K氦蒸气压方程。其中氦3(3He)蒸气压-温度方程适用于0.65K3.2K温区,氦4(4He)适用于1.25K到2.1768K(λ点)温区和2.1768K到5.0K温区。

(2)3.0K-24.5561K温区用内插气体温度计。在此温区内T90借助三个温度点及氦3(3He)、氦4(4He)定容气体温度计定义。

(3)13K-961.78℃用铂电阻温度计作内插仪器。此温区用铂电阻温度计、14个固定点、参考函数及偏差函数定义,整个温区不可能用一种铂电阻温度计高精度复现。通常由高温铂电阻温度计、长杆铂电阻温度计和低温套管式铂电阻温度计分段复现。

(4)961.78℃以上温区用普朗克辐射定律定义。ITS-90并未指定仪器类型。常用的仪器是单色波长的光电比较仪或单色辐射温度计。只用-个固定点及光谱辐射亮度比就可定义961.78℃以上的温标。温标的上限为按此种定义方法实际可达到的最高温度。

3.定义公式或内插方程。ITS-90温标只给出17个固定点的温度值。固定点之间的温度或961.78℃以上的温度由内插方程或定义公式给出。与前述四种定义方法相对应的有多种定义公式,这是由于ITS-90设定了多个子温区(Subranges)。有关0.65K~5.0K氦蒸气压温度方程及3.0K~24K温区气体温度计的内插公式请参看ITS-90文本。

应用面广而且变化较大的是13K~961.78℃铂电阻温区的内插公式。其基本原则是铂电阻的电阻比W(T90)由参考函数Wr(T90)及偏差函数ΔW(T90)确定,即:

W(T90)=Wr(T90)+ΔW(T90) (4.2-5)

参考函数分两段给出,即13K~273.16K为一段,0℃~961.78℃为另一段,它们的参考函数分别是:

偏差函数随温区及子温区变化,共有11个温区及子温区,相应的偏差函数公式可在ITS90文本中找到。

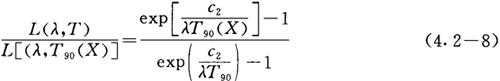
961.78℃以上的定义公式为:

其中T90(X)可用金、银、铜任意一个凝固点温度。

综上所述,ITS-90与IPTS-68的主要区别如下:

1.温度范围扩大,下限由原来的13K下延到0.65K,上限扩展到单色辐射测温法可实际达到的最高限。

2.取消标准铂铑10%-铂热电偶作为630℃~1064℃的内插仪器。此段温标由铂电阻温度计上延和单色辐射测温法下延来完成。衔接点在银凝固点(961.78℃)。

3.铂电阻温度计内插公式变化大,且电阻比W(t)的参考温度由冰点改为水三相点,对铂电阻温度计的选择条件也有新的规定。原定为W(373.15K)≥1.3925,现改为W(TGa≥1.11807或W(THg)≤0.844235,以及W(TAg)≥4.2844。

4.增加了新的固定点,原有的一些固定点重新测定了热力学温度值,提高了固定点热力学温度赋值的准确度。

5.新增加了蒸气压温度计和气体温度计作为内插仪器。

6.ITS-90设定了很多子温区,增加了温标的灵活性,并能满足最高准确度的需求。

总之ITS-90较IPTS-68更科学、更准确、更适用。

表4.2-3给出了中国计量科学研究院(NIM)复现的ITS-90定义固定点及某些二类固定点,并给出它们的复现不确定度。

表4.2-3 NIM的固定点及其不确定度(99%置信概率)

注:打*者为二类固定点

【参考文献】:

[1]师克宽等,过程参数检测,中国计量出版社,1990。

[2]王江,现代计量测试技术,中国计量出版社,1990。

[3]鲁绍曾,现代计量学概论,中国计量出版社,1987。

[4]赵琪 原遵东等,用于ITS-90的直流光电温度比较仪,计量学报(1990),Vo1,11,No.4,P.241。

[5]H.Preston-Thomas,The International Temperature Scale of 1990,CCT BIPM,1990

[6]蒋思敬、姚土春编,压力研究。

[7]M·K,若霍夫斯基着,李燕、黄国政等译,压力和疏空计量技术。

[8]Supplementary Information for the International Temperature Scale of 1990,CCTBIPM,1990。

[9]Techniques for Approximating The International Temperature Scale of 1990,CCT BIPM,1990。

[10]王魁汉,温度测量技术,东北工学院出版社,1991。

[11]沈正宇、王凤诚,从计量保证方案(MAP)谈一等标准水银温度计的检定质量,第二届全国温度测量与控制学术会议论文集,P340-345,1990。

[12]压力计量名词术语及定义,JJG,1008-87。

[13]知久明、金田良作等合编,房景富、韩慧文、袁先富译,压力测试仪器的管理。

[14]许第昌编,压力计量测试。

[15]蔡武昌等编,流量测理方法和仪表选用指南。

[16]川田裕郎等编着,流量测量手册。

[17]苏彦勋、盛健、梁国伟编着,流量计量与测试。

随便看

 

离鸟网收录3541549条中英文词条,其功能与新华字典、现代汉语词典、牛津高阶英汉词典等各类中英文词典类似,基本涵盖了全部常用中英文字词句的读音、释义及用法,是语言学习和写作的有利工具。

 

Copyright © 2004-2024 vtrois.com All Rights Reserved
更新时间:2026/4/7 5:08:48