网站首页  词典首页


请输入您要查询的字词:

 

字词 1Cr13
类别 中英文字词句释义及详细解析
释义

1Cr13


(1)钢号简介

1Cr13是马氏体型不锈钢,它是国际上通用的牌号,美国称AISI410,法国RCC-M为Z10C-13、Z12C-13、日本称SUS410、德国DIN标准中称作X15Cr13。1Cr13钢属于半马氏体型不锈钢,经淬火的组织除马氏体外,尚存在铁素组织。经淬火和回火处理的1Cr13具有较高的强度、韧性,较好的耐蚀性和冷变形能力,具有良好的减振性能。通常该钢在淬火和回火状态下使用,回火为高温回火和低温回火,应避免在370~560℃的温度回火,以确保钢的良好性能。低温回火可消除淬火过程中形成的内应力,高温回火在保证其良好耐蚀性同时,可获得优良的综合力学性能。1Cr13主要用于对韧性要求较高和具有不锈性的受冲击载荷的部件,如叶片、水压机阀、紧固件、热裂解抗硫腐蚀设备等,亦可制作在常温条件耐弱腐蚀介质腐蚀的设备和部件。在反应堆中主要用于2、3级辅助泵传动轴、蒸发器支撑件、控制棒驱动机构等。

(2)化学成分

1Cr13钢的化学成分列于表3-1,反应堆用的1Cr13不锈钢的特殊规定也一并列入此表。

表3-1 1Cr13钢的化学成分

(3)室温力学性能

不同标准对1Cr13的室温力学性能的规定值见表3-2。实测数据见表3-3。奥氏体化温度和回火温度对1Cr13钢室温力学性能的影响见图3-2。热处理工艺制度对不同温度下1Cr13钢冲击值的影响见表3-4。

表3-2 不同标准所规定的室温力学性能

注:①aKV(J/cm2)。

表3-3 1Cr13(截面尺寸≤60mm)的实测力学性能

图3-2 奥氏体化温度和回火温度对1Cr13钢室温力学性能的影响(回火时间为2h)

a:925℃×30min油冷到65~95℃,175℃×15min消除应力

b:1010℃×30min油冷到65~95℃,175℃×15min消除应力

表3-4 热处理及温度对1Cr13钢夏比V形缺口冲击性能的影响

(4)疲劳和断裂

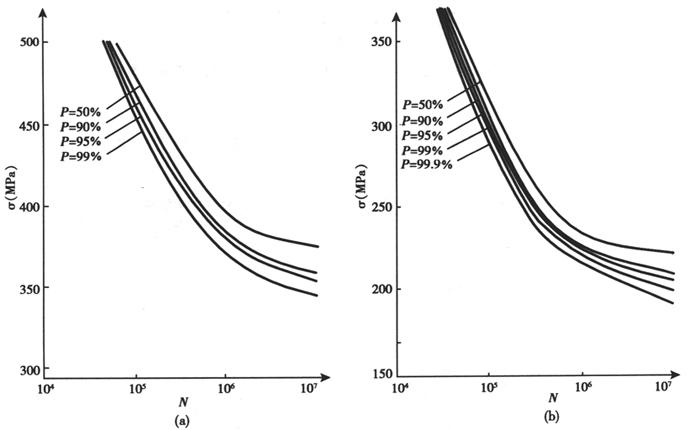
1Cr13钢的室温疲劳极限见表3-5,在指定存活率下的N-S曲线见图3-3。试验用钢化学成分为0.11C-0.29Mn-0.025P-0.009S-0.25Si-12.78Cr-0.14Ni。试样的热处理工艺为:1050℃油淬,720℃×2h空冷回水。

表3-5 指定寿命为107的1Cr13的疲劳极限

图3-3 1Cr13钢的S-N曲线

(a)光滑试样;(b)缺口试样,R=0.75mm;Kt=2;P-指定存活率

1Cr13钢在NaCl中的疲劳行为见图3-4。显然环境的变化对其疲劳寿命产生较大影响。随着NaCl浓度增加,1Cr13钢的疲劳寿命缩短,见图3-5。

图3-4 1Cr13钢在空气和0.03%NaCl环境中的疲劳行为

图3-5 NaCl浓度对1Cr13钢在340MPa交变力下疲劳寿命的影响

(5)高温瞬力学性能

不同热处理条件下的高温瞬时力学性能见表3-6。随回火温度的提高1Cr13钢强度下降而塑韧性明显提高,详见表3-7。

表3-6 不同热处理制度的1Cr13钢高温拉瞬时力学性能

表3-7 回火温度对1Cr13高温瞬时力学性能的影响(1010℃×30min油淬,回火时间4h)

(6)持久和蠕变性能

数据见表3-8和表3-9。最小蠕变速度和应力关系曲线见图3-6。

表3-8 1Cr13钢的持久强度(1030~1050℃油淬,750℃回火空冷)

表3-9 1Cr13钢的蠕变强度(热处理同表3-8)

图3-6 最小蠕变速度和应力关系曲线

(7)高温度疲劳和介质条件的影响

1Cr13钢的高温疲劳数据和介质条件对其高温疲劳性能的影响见表3-10和表3-11。

表3-10 1Cr13钢的高温度疲劳极限

注:热处理制度:1030~1050℃油淬,680~700℃回火空冷,疲劳循环次数:107

表3-11 在不同介质中的疲劳极限(热处理同表3-8)

(8)抗氧化和耐蚀性

1Cr13钢出现强烈氧化开始温度为750℃。抗氧化性能见表3-12,1Cr13钢具有不锈性,在室温稀硝酸及弱有机酸中也有一定耐蚀性,在某些介质中的耐蚀性见表3-13。在反应堆环境中的腐蚀见表3-14至表3-17。

表3-12 1Cr13钢抗氧化性

表3-13 1Cr13钢在一些介质中的腐蚀

表3-14 1Cr13钢在压水堆冷却剂中的腐蚀

注:①脱膜样品。

表3-15 1Cr13钢在压水堆冷却剂中金属向水中的转移速率

①脱膜样品。

表3-16 1Cr13在压水堆冷却剂中堆内腐蚀

①脱膜样品。

表3-17 1Cr13钢在等温条件下钠中的腐蚀

(9)热处理及组织结构

临界点(近似值):℃

等温转变曲线:0.10C-12.4Cr的1Cr13钢,奥氏体化温度为980℃的等温转变曲线见图3-7。

图3-7 1Cr13钢的等温转变曲线

热处理工艺:1Cr13钢的热处理工艺如下。

冶金厂通常以退火状态交货,以便最终用户加工制造。在制造厂的最终热处理为淬火并高温回火,其组织为回火索氏体和少量铁素体。回火温度的选择视其使用要求而定,可参阅图3-2。

(10)工艺性能

1Cr13钢的冷塑性及深冲性、抛光性和切削加工性能良好,板材的深冲度与其厚度有关,板材愈厚深冲度愈高。1Cr13钢的热加工温度以850~1200℃为宜,随后需灰冷或砂冷。1Cr13具有良好的焊接性能,其焊接性能与0Cr13相近,可采用0Cr13或奥107、奥207的焊条焊接,为防止焊接接头的冷裂纹,焊前应该预热,预热温度为200~300℃,焊后经700~750℃热处理可获得良好的性能,选用奥氏体焊接材料焊接,焊后可不进行热处理。应该强调的是,当焊后焊缝需进行机械加工时应进行退火处理。

(11)物理性能

1Cr13钢的物理性能见表3-18。

表3-18 1Cr13钢的物理性能

(12)应用

1Cr13钢主要用作抗弱腐蚀介质,并要求具有较高韧性及受冲击负荷的零部件,如汽轮机叶片、水压机阀、结构架、螺栓、螺帽等。在反应堆环境中,主要用于2、3级辅助泵传动轴、蒸发器支承件、控制棒驱动机构等。

随便看

 

离鸟网收录3541549条中英文词条,其功能与新华字典、现代汉语词典、牛津高阶英汉词典等各类中英文词典类似,基本涵盖了全部常用中英文字词句的读音、释义及用法,是语言学习和写作的有利工具。

 

Copyright © 2004-2024 vtrois.com All Rights Reserved
更新时间:2026/4/9 13:51:50