网站首页  词典首页


请输入您要查询的字词:

 

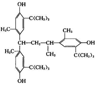
字词 1,1,3-三(2-甲基-4-羟基-5-叔丁基苯基)丁烷,抗氧剂CA
类别 中英文字词句释义及详细解析
释义

1,1,3-三(2-甲基-4-羟基-5-叔丁基苯基)丁烷,抗氧剂CA


【结构式】:

【释文】:

制法 由3-甲基-6-叔丁基苯酚与丁烯醛缩合而得。

性质 白色结晶粉末。分子量544.82。松密度0.5g/cm3。熔点182.5~188℃。溶解度见表4-10。

表4-10 抗氧剂CA的溶解度(g/100g溶剂,25℃)

用途 本品为高效酚类抗氧剂,适用于聚丙烯、聚乙烯、聚氯乙烯、聚酰胺、ABS树脂、聚缩醛、聚苯乙烯和纤维素塑料。挥发性低,热氧稳定效能高,并有抑制铜催化氧化的作用,与硫代二丙酸二月桂酯并用有良好的协同效应。本品也可作为合成橡胶和热熔粘合剂的抗氧剂,适用于浅色橡胶制品。本品在塑料中的一般用量为0.02~0.5%,在橡胶中的一般用量0.5~3%。

毒性 本品的毒性很低,经口染毒后,在动物体内仅有微量吸收,98%从粪便中排出。以每日2g/kg体重的剂量对大白鼠经口或注射染毒,无任何中毒症状。

许多国家允许本品用于制作食品包装材料。法国、德国和荷兰的最高许用量为0.1%,意大利为0.2%。美国食品和药物管理局规定:本品用于聚烯烃和聚氯乙烯时,如果制品与脂肪性或醇类食品接触,允许用量为0.1%,与其它食品接触时为0.25%,用于聚苯乙烯及苯乙烯共聚物时的允许用量为0.2%(参见FDA121.2566)。日本对本品用于食品包装材料的最大用量限制是:聚乙烯0.1%、聚丙烯0.3%、聚苯乙烯0.2%、AS树脂0.1%、ABS树脂0.2%(制品不接触醇性食品)。

国内生产厂 天津力生化工厂 江苏太仓塑料助剂厂

国外生产厂

随便看

 

离鸟网收录3541549条中英文词条,其功能与新华字典、现代汉语词典、牛津高阶英汉词典等各类中英文词典类似,基本涵盖了全部常用中英文字词句的读音、释义及用法,是语言学习和写作的有利工具。

 

Copyright © 2004-2024 vtrois.com All Rights Reserved
更新时间:2026/4/7 18:57:37