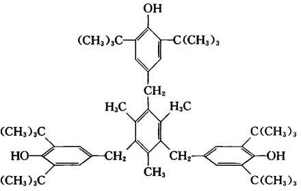
【结构式】:

【释文】:
制法 由1,3,5-三甲基苯与4-羟基-3,5-二叔丁基苯甲醇反应而得。
性质 白色结晶粉末。分子量775.2。熔点244℃。溶解度(18℃,g/100g溶剂)如下:

用途 本品可作为高密度聚乙烯、聚丙烯、聚苯乙烯、聚甲醛和聚酰胺的抗氧剂。挥发性低,不污染,耐热性和耐久性好,在高温加工和制品户外使用时有良好的抗氧效能,一般用量为0.05~0.5%。本品也可作为合成橡胶的抗氧剂。
毒性 本品毒性低,与其它抗氧剂特别是二叔丁基对甲酚不同,本品经口染毒后,不被动物组织吸收,全部从粪便中排出。用含本品1%的饲料连续喂饲大白鼠90天,动物的生态、血液及组织均未见异常。
本品可用于接触食品的塑料制品。法国和意大利规定的最大许用量为0.5%;美国食品和药物管理局规定本品用于聚酰胺时的许用量为1%(参见FDA121.2502),用于其它树脂的许用量为0.5%(参见FDA121.2566)。日本和德国的用量限制如表4-9所示。
表4-9 抗氧剂330用于食品包装材料时用量限制

*抗氧剂总量。
国外生产厂
