网站首页  词典首页


请输入您要查询的字词:

 

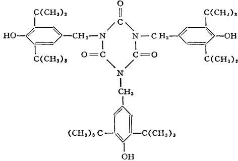
字词 1,3,5-三(3,5-二叔丁基-4-羟基苄基)均三嗪-2,4,6-(1H,3H,5H)三酮或异氰脲酸三(3,5-二叔(丁基4-羟基苄基酯),抗氧剂3114
类别 中英文字词句释义及详细解析
释义

1,3,5-三(3,5-二叔丁基-4-羟基苄基)均三嗪-2,4,6-(1H,3H,5H)三酮或异氰脲酸三(3,5-二叔(丁基4-羟基苄基酯),抗氧剂3114


【结构式】:

【释文】:

性质 白色结品粉末。分子量784。灰分0.006%。相对密度(25℃)1.03。熔点221℃。闪点(开杯法)289.4℃。着火点302℃。溶解度见表4-16。

表4-16 抗氧剂3114的溶解度

用途 本品为具有三官能团的受阻酚型抗氧剂,不污染,不着色。由于分子量和熔点高,故挥发性极小,迁移性小,耐水抽出性好,可赋予塑料优良的耐热氧化性和耐光氧化性。适用于聚乙烯、聚丙烯、聚苯乙烯、ABS树脂、聚酯、尼龙、聚氯乙烯、聚氨酯、纤维素塑料和合成橡胶,在聚烯烃中效果尤为显着。一般用量为0.1~0.25%,与紫外线吸收剂或亚磷酸酯类并用有协同效应,可进一步提高光热稳定性。

毒性 本品毒性低,大白鼠经口LD50>6800毫克/公斤体重,家兔经口LD50>10000毫克/公斤体重。

本品可用于接触食品的聚烯烃制品(可接触脂肪性和非脂肪性食品)。

国内生产厂 江苏省镇江市化工研究所试验工厂

国外商品名

随便看

 

离鸟网收录3541549条中英文词条,其功能与新华字典、现代汉语词典、牛津高阶英汉词典等各类中英文词典类似,基本涵盖了全部常用中英文字词句的读音、释义及用法,是语言学习和写作的有利工具。

 

Copyright © 2004-2024 vtrois.com All Rights Reserved
更新时间:2026/4/8 15:18:31