网站首页  词典首页


请输入您要查询的字词:

 

字词 1,3-双(3′-羟基-4′-苯甲酰基苯氧基)丙醇-2
类别 中英文字词句释义及详细解析
释义

1,3-双(3′-羟基-4′-苯甲酰基苯氧基)丙醇-2


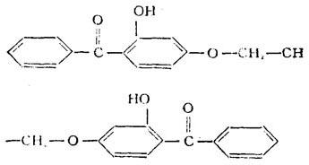
【结构式】:

【释文】:

制法 由2.4-二羟基二苯甲酮与1,3-均二氯异丙醇在碱存在下缩合而得。

性质 白色结品粉末,微具淡绿色调。分子量484.50。熔点150~151℃。溶于丙酮、氯仿、氯苯、二噁烷和二甲基甲酰胺,加热时溶于醋酸乙酯、苯,微溶于乙醇,不溶于水和己烷。热稳定性好,加热至370℃不挥发,无毒。

用途 本品可作为聚氯乙烯、聚乙烯、抗冲击聚苯乙烯、氯化聚醚和纤维素塑料的光稳定剂,防护效能高,不着色,一般用量为1%左右。

国外生产厂家 苏联

随便看

 

离鸟网收录3541549条中英文词条,其功能与新华字典、现代汉语词典、牛津高阶英汉词典等各类中英文词典类似,基本涵盖了全部常用中英文字词句的读音、释义及用法,是语言学习和写作的有利工具。

 

Copyright © 2004-2024 vtrois.com All Rights Reserved
更新时间:2026/4/8 4:38:54