网站首页  词典首页


请输入您要查询的字词:

 

字词 2116松香改性酚醛树脂
类别 中英文字词句释义及详细解析
释义

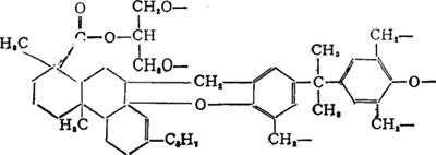
2116松香改性酚醛树脂


别名 328松香改性酚醛树脂

结构式

性能 软化点高,油溶性好,较松香加工树脂配制的油墨有固着快、光泽高,且不泛黄,抗水性强等优点。

质量规格(参考)

用途 油墨、油漆工业中广泛应用。

包装贮运 50kg麻袋、木箱、乳胶袋包装。贮运应注意防雨,防晒,远离火源。

国内生产厂 上海新华树脂厂、上海南大化工厂、各大油墨厂。

随便看

 

离鸟网收录3541549条中英文词条,其功能与新华字典、现代汉语词典、牛津高阶英汉词典等各类中英文词典类似,基本涵盖了全部常用中英文字词句的读音、释义及用法,是语言学习和写作的有利工具。

 

Copyright © 2004-2024 vtrois.com All Rights Reserved
更新时间:2026/4/6 21:46:18