网站首页  词典首页


请输入您要查询的字词:

 

字词 2134松香改性酚醛树脂
类别 中英文字词句释义及详细解析
释义

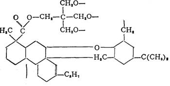
2134松香改性酚醛树脂


结构式

性能 软化点高,油溶性好。配制的油墨固着快、光泽高、不泛黄、抗水性强。

质量规格(参考)

用途 使用于油墨工业中,主要制造亮光油墨。

包装贮运 50kg麻袋包装。贮运中注意通风,防晒,避火,勿雨淋。

国内生产厂 各大油墨厂。

随便看

 

离鸟网收录3541549条中英文词条,其功能与新华字典、现代汉语词典、牛津高阶英汉词典等各类中英文词典类似,基本涵盖了全部常用中英文字词句的读音、释义及用法,是语言学习和写作的有利工具。

 

Copyright © 2004-2024 vtrois.com All Rights Reserved
更新时间:2026/4/6 23:46:55