网站首页  词典首页


请输入您要查询的字词:

 

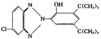
字词 2-(2′-羟基-3′,5′-二叔丁基苯基)-5氯代苯并三唑
类别 中英文字词句释义及详细解析
释义

2-(2′-羟基-3′,5′-二叔丁基苯基)-5氯代苯并三唑


【结构式】:

【释文】:

制法 对氯邻硝基苯胺重氮化产物与2,4-二叔丁基苯酚化合后,再经还原而得。

性质 淡黄色或白色粉末。分子量358。相对密度1.20。熔点154~158℃。溶于苯、甲苯、苯乙烯等,表3-18为本品的溶解度。

表3-18 2-(2′-羟基-3′,5′-二叔丁基苯基)-5-氯代苯并三唑的溶解度(g/100mL,25℃)

用途 本品为紫外线吸收剂,其特性和用途与UV-326相似,能强烈地吸收波长为270~380nm的紫外线,化学稳定性好,挥发性极小。与聚烯烃的相容性好,特别适用于聚乙烯和聚丙烯。此外,还可用于聚氯乙烯、聚甲基丙烯酸甲酯、聚甲醛、聚氨酯、不饱和聚酯、ABS树脂、环氧树脂和纤维素树脂等。本品具有优良的耐热升华性,耐洗涤性,耐气体褪色性和力学性能保持性。与抗氧剂并用有显着的协同效应,可改善制品的热氧稳定性。本品在塑料中的一般用量为1~3%。

毒性 本品毒性低,对大白鼠的经口LD50为5000mg/kg体重。以每日5mg/kg体重的剂量对雄性和雌性大白鼠进行2年的慢性毒性实验,经病理学和组织学检查未见任何异常,无致癌性,对实验动物后代亦无影响。

日本、美国、法国、意大利许可本品用于接触食品的聚烯烃塑料中,最高用量为0.5%。用于其它与食品接触的塑料时,意大利规定的最高用量为0.2%,日本和法国为0.5%。

国内生产厂 天津力生化工厂 北京化工厂 上海助剂厂

国外生产厂

随便看

 

离鸟网收录3541549条中英文词条,其功能与新华字典、现代汉语词典、牛津高阶英汉词典等各类中英文词典类似,基本涵盖了全部常用中英文字词句的读音、释义及用法,是语言学习和写作的有利工具。

 

Copyright © 2004-2024 vtrois.com All Rights Reserved
更新时间:2026/4/6 20:06:10