网站首页  词典首页


请输入您要查询的字词:

 

字词 2-(2′-羟基-3′,5′-二戊基苯基)苯并三唑
类别 中英文字词句释义及详细解析
释义

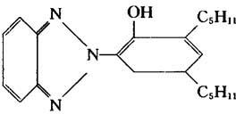
2-(2′-羟基-3′,5′-二戊基苯基)苯并三唑


【结构式】:

【释文】:

制法 由邻硝基苯胺的重氮化产物与2,4-二戊基苯酚化合后,再经还原而得。

性质 淡黄色粉末。分子量351.50。熔点81℃。相对密度0.91。溶于苯、甲苯、环己烷和醋酸乙酯等溶剂,不溶于水,表3-19为本品的溶解度。

表3-19 2-(2′-羟基-3′,5′-二戊基苯基)苯并三唑的溶解度(g/100mL溶剂,20℃)

用途 本品为一优异的紫外线吸收剂,最大吸收峰为345nm,光稳定效能与UV-326和UV-327相似,但本品与树脂的相容性好,热挥发低,耐洗涤性高,主要用于聚乙烯、聚丙烯、聚苯乙烯、聚氯乙烯、聚酯、环氧树酯、ABS树脂和纤维素树脂等,一般用量1%左右。在各种涂料中也具有优良的光稳定效果。

国外生产厂

随便看

 

离鸟网收录3541549条中英文词条,其功能与新华字典、现代汉语词典、牛津高阶英汉词典等各类中英文词典类似,基本涵盖了全部常用中英文字词句的读音、释义及用法,是语言学习和写作的有利工具。

 

Copyright © 2004-2024 vtrois.com All Rights Reserved
更新时间:2026/4/7 7:12:53