网站首页  词典首页


请输入您要查询的字词:

 

字词 2-异丙基咪唑
类别 中英文字词句释义及详细解析
释义

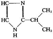
2-异丙基咪唑


【结构式】:

【释文】:

性质 淡黄色粉末。熔点133~135℃。

用途 本品为环氧树脂的中温固化剂,适用于粉末成型和粉末涂装。

国外生产厂

随便看

 

离鸟网收录3541549条中英文词条,其功能与新华字典、现代汉语词典、牛津高阶英汉词典等各类中英文词典类似,基本涵盖了全部常用中英文字词句的读音、释义及用法,是语言学习和写作的有利工具。

 

Copyright © 2004-2024 vtrois.com All Rights Reserved
更新时间:2026/4/9 16:08:16