网站首页  词典首页


请输入您要查询的字词:

 

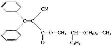
字词 2-氰基-3,3-二苯基丙烯酸2-乙基己酯
类别 中英文字词句释义及详细解析
释义

2-氰基-3,3-二苯基丙烯酸2-乙基己酯


【结构式】:

【释文】:

制法 由二苯基甲亚胺与氰醋酸2-乙基己酯反应而得。

性质 浅黄色液体。分子量331.46。相对密度(25℃)1.0478。凝固点-10℃。沸点200℃。可与甲醇、乙醇、甲苯、己烷、甲乙酮、醋酸乙酯、邻苯二甲酸二辛酯等混溶,不溶于水。

用途 本品可作为各种塑料的光稳定剂,效能与N-35相似,特别适用于硬质和软质聚氯乙烯,与树脂的相容性好,不着色,可赋予制品优良的光热稳定性。此外,本品在缩醛树脂、丙烯酸树脂、聚氨酯和硝酸纤维素涂料中也具有良好的光稳定效果。

毒性 本品毒性低,对大白鼠的经口LD50>16g/kg体重。

国外生产厂

随便看

 

离鸟网收录3541549条中英文词条,其功能与新华字典、现代汉语词典、牛津高阶英汉词典等各类中英文词典类似,基本涵盖了全部常用中英文字词句的读音、释义及用法,是语言学习和写作的有利工具。

 

Copyright © 2004-2024 vtrois.com All Rights Reserved
更新时间:2026/4/7 6:23:23