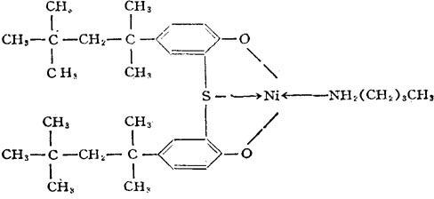
【结构式】:

【释文】:
制法 由4-叔辛基苯酚和二氯化硫反应生成硫代双(4-叔辛基苯酚),其再与正丁胺和醋酸镍反应而得。
性质 淡绿色粉末或片状物。分子量571。相对密度11.307(25℃)。熔点258~261℃。溶于正庚烷、四氢呋喃、甲苯,微溶于乙醇和甲乙酮等,表3-23为本品在部分溶剂中的溶解度。
表3-23 2,2′-硫代双(4-叔辛基酚氧基)镍-正丁胺络合物的溶解度(克/100克溶剂,25℃)

用途 本品为高效光稳定剂,能吸收波长为270~330纳米的紫外线,不仅具有光稳定作用,而且还有抗氧剂功能。适用于聚丙烯、聚乙烯、乙烯-醋酸乙烯共聚物等塑料,对高温下使用或长期经受日晒的制品尤为适宜。一般用量0.25~0.5%。本品的着色性小,对聚烯烃的染料有螯合作用,可改善其染色性。
毒性 本品的毒性低,对大白鼠的经口LD50>10克/公斤体重,对皮肤的刺激性极小。
国外商品名
