网站首页  词典首页


请输入您要查询的字词:

 

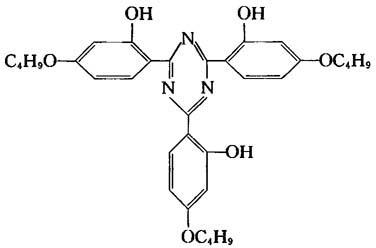
字词 2,4,6-三(2′-羟基-4′-正丁氧基苯基)-1,3,5-三嗪,三嗪-5
类别 中英文字词句释义及详细解析
释义

2,4,6-三(2′-羟基-4′-正丁氧基苯基)-1,3,5-三嗪,三嗪-5


【结构式】:

【释文】:

制法 由三聚氯氰和间苯二酚的反应产物经溴丁烷进行丁氧基化而得。

性质 淡黄色粉末。分子量573.6。熔点156~165℃。溶于六甲基磷酰三胺,加热时溶于二甲基甲酰胺,微溶于正丁醇,不溶于水。

用途 本品为紫外线吸收剂,能吸收波长为300~380nm的紫外线。适用于聚氯乙烯、聚甲醛、氯化聚醚等多种塑料,一般用量为0.1~1%。其光稳定效能优于UV-9和UV-531,但该品有着色性,可使制品带淡黄色,而且与树脂的相容性也较差。

国内生产厂 上海东方化工厂 吉林和龙县化工厂

随便看

 

离鸟网收录3541549条中英文词条,其功能与新华字典、现代汉语词典、牛津高阶英汉词典等各类中英文词典类似,基本涵盖了全部常用中英文字词句的读音、释义及用法,是语言学习和写作的有利工具。

 

Copyright © 2004-2024 vtrois.com All Rights Reserved
更新时间:2026/4/7 22:16:59