网站首页  词典首页


请输入您要查询的字词:

 

字词 2,5-二叔戊基对苯二酚
类别 中英文字词句释义及详细解析
释义

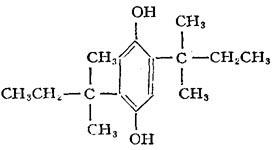
2,5-二叔戊基对苯二酚


【结构式】:

【释文】:

制法 由对苯二酚与叔戊醇反应而得。

性质 奶油色粉末。分子量250.4。灰分<0.5%。相对密度1.02~1.08(25℃)。熔点>176℃。加热损失(70℃,2小时)<1%。溶于乙醇、丙酮和醚,微溶于四氯化碳,在苯和萘中的溶解性中等。

用途 本品为非污染性抗氧剂,可作为各种合成橡胶特别是丁腈橡胶的生胶稳定剂,与N,N′-二-β-萘基对苯二胺并用有协同效应,一般用量为0.5%。本品毒性低,美国食品和药物管理局许可本品用于接触食品的橡胶制品,最大用量不超过5%。

国外商品名

随便看

 

离鸟网收录3541549条中英文词条,其功能与新华字典、现代汉语词典、牛津高阶英汉词典等各类中英文词典类似,基本涵盖了全部常用中英文字词句的读音、释义及用法,是语言学习和写作的有利工具。

 

Copyright © 2004-2024 vtrois.com All Rights Reserved
更新时间:2026/4/7 20:18:35