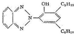
【结构式】:

【释文】:
制法 由邻硝基苯胺的重氮化产物与2,4-二戊基苯酚化合后,再经还原而得。
性质 淡黄色粉末。分子量351.50。熔点81℃。相对密度0.91。溶于苯、甲苯、环己烷和醋酸乙酯等溶剂,不溶于水,表3-19为本品的溶解度。
表3-19 2-(2′-羟基-3′,5′-二戊基苯基)苯并三唑的溶解度(克/100毫升溶剂,20℃)

用途 本品为一优异的紫外线吸收剂,最大吸收峰为345纳米,光稳定效能与UV-326和UV-327相似,但本品与树脂的相容性好,热挥发低,耐洗涤性高,主要用于聚乙烯、聚丙烯、聚苯乙烯、聚氯乙烯、聚酯、环氧树脂、ABS树脂和纤维素树脂等,一般用量1%左右。在各种涂料中也具有优良的光稳定效果。
国外商品名
