网站首页  词典首页


请输入您要查询的字词:

 

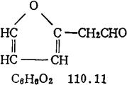
字词 2-呋喃乙醛
类别 中英文字词句释义及详细解析
释义

2-呋喃乙醛


由糠醛与-氯醋酸甲酯形成缩水甘油酸酯,然后水解而成。

性质 无色或微黄色液体,具稍尖刺,但暖和、青-辛香刺激气味;沸点156℃,几乎不溶于水而溶于醇、油类。

用途 用于调配花香型日化香精,因它的强有力花香青香。

随便看

 

离鸟网收录3541549条中英文词条,其功能与新华字典、现代汉语词典、牛津高阶英汉词典等各类中英文词典类似,基本涵盖了全部常用中英文字词句的读音、释义及用法,是语言学习和写作的有利工具。

 

Copyright © 2004-2024 vtrois.com All Rights Reserved
更新时间:2026/4/8 21:32:28