网站首页  词典首页


请输入您要查询的字词:

 

字词 2-巯基苯并咪唑锌盐
类别 中英文字词句释义及详细解析
释义

2-巯基苯并咪唑锌盐


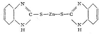
【结构式】:

【释文】:

制法 由2-巯基苯并咪唑的钠盐与氯化锌反应而得。

性质 灰白色粉末。分子量263.77。相对密度1.60~1.75。300℃以上分解。微溶于乙醇、丙酮和二硫化碳,不溶于苯、氯仿和水。无毒。

用途 本品性能与2-巯基苯并咪唑相似,抗热氧效能比之更高,作为辅助抗氧剂与其它抗氧剂并用可得到良好的协同效应。

国内生产厂 上海敦煌化工厂

国外商品名

随便看

 

离鸟网收录3541549条中英文词条,其功能与新华字典、现代汉语词典、牛津高阶英汉词典等各类中英文词典类似,基本涵盖了全部常用中英文字词句的读音、释义及用法,是语言学习和写作的有利工具。

 

Copyright © 2004-2024 vtrois.com All Rights Reserved
更新时间:2026/4/9 10:22:40