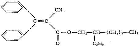
【结构式】:

【释文】:
制法 由二苯基甲亚胺与氰醋酸2-乙基己酯反应而得。
性质 浅黄色液体。分子量331.46。相对密度(25℃)1.0478。凝固点-10℃。沸点200℃。可与甲醇、乙醇、甲苯、己烷、甲乙酮、醋酸乙酯、邻苯二甲酸二辛酯等混溶,不溶于水。
用途 本品可作为各种塑料的光稳定剂,效能与N-35相似,特别适用于硬质和软质聚氯乙烯,与树脂的相容性好,不着色,可赋予制品优良的光热稳定性。此外,本品在缩醛树脂、丙烯酸树脂、聚氨酯和硝酸纤维素涂料中也具有良好的光稳定效果。
毒性 本品毒性低,对大白鼠的经口LD50>16克公斤体重。
国外商品名
