网站首页  词典首页


请输入您要查询的字词:

 

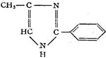
字词 2-苯基-4-甲基咪唑
类别 中英文字词句释义及详细解析
释义

2-苯基-4-甲基咪唑


【结构式】:

【释文】:

性质 白色粉末。熔点178~179℃。呈碱性。

用途 与2-苯基咪唑相同。

国外商品名

随便看

 

离鸟网收录3541549条中英文词条,其功能与新华字典、现代汉语词典、牛津高阶英汉词典等各类中英文词典类似,基本涵盖了全部常用中英文字词句的读音、释义及用法,是语言学习和写作的有利工具。

 

Copyright © 2004-2024 vtrois.com All Rights Reserved
更新时间:2026/4/8 18:20:40