网站首页  词典首页


请输入您要查询的字词:

 

字词 3,5-二叔丁基-4-羟基苯甲酸2,4-二叔丁基苯酯,光稳定剂120
类别 中英文字词句释义及详细解析
释义

3,5-二叔丁基-4-羟基苯甲酸2,4-二叔丁基苯酯,光稳定剂120


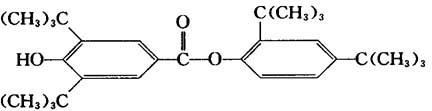
【结构式】:

【释文】:

性质 白色或浅黄色粉末。分子量438.6。熔点194~197℃。在溶剂中的溶解性见表3-22。

表3-22 3,5-二叔丁基-4-羟基苯甲酸2,4-二叔丁基苯酯的溶解度(g/100mL溶剂,20℃)

用途 本品为塑料用光稳定剂,在紫外线区域的最大吸收峰为265nm,适用于聚丙烯和聚乙烯,一般用量0.2~1%。此外,本品在聚甲醛、聚苯乙烯等塑料中也有较好的光稳定效果。本品挥发性低,热稳定性高,耐洗涤液抽出性好,对制品的着色性小。与苯并三唑类紫外线吸收剂和有机镍类光稳定剂并用有优良的协同效应,可进一步提高光稳定效果。

毒性 本品对大白鼠的经口LD50>5000mg/kg体重。

国外生产厂

随便看

 

离鸟网收录3541549条中英文词条,其功能与新华字典、现代汉语词典、牛津高阶英汉词典等各类中英文词典类似,基本涵盖了全部常用中英文字词句的读音、释义及用法,是语言学习和写作的有利工具。

 

Copyright © 2004-2024 vtrois.com All Rights Reserved
更新时间:2026/4/9 0:09:15