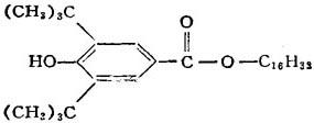
【结构式】:

【释文】:
性质 白色粉末。熔点60℃。25℃时的溶解度(克/100克溶剂):甲苯53.5、丙酮8.3、己烷35.9、氯仿61.1、甲醇1.3。
用途 本品为优良的光稳定剂,挥发性低,着色性小,化学稳定性好,耐酸、碱。适用于聚丙烯和聚乙烯等聚烯烃塑料,一般用量为0.25~1%。本品可单独使用,也可与二苯甲酮类紫外线吸收剂(如UV-531)或亚磷酸酯类抗氧剂并用,显示良好的协同效应,稳定效能堪与受阻胺类光稳定剂媲美。
毒性 本品毒性较低,对大白鼠的经口和经皮LD50>5克/公斤体重,用含本品2.4%的饲料喂饲大白鼠30天,未见异常。在一般的工业应用中,对人体未见有任何明显危害。
国外商品名
