网站首页  词典首页


请输入您要查询的字词:

 

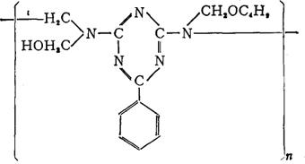
字词 561胺基树脂
类别 中英文字词句释义及详细解析
释义

561胺基树脂


别名 丁醇醚化苯代三聚氰胺树脂

结构式

性能 溶于芳烃溶剂,可以和含有羟基、羧基等活性基团的树脂(如醇酸树脂)交联成膜。与582-2三聚氰胺树脂相比,分子中一个胺基被苯基取代,所以,交联成膜后,耐热性高,光泽高,丰满度好。

质量规格(参考)

用途 油漆用来制造氨基烘漆,油墨中用来制造牙膏涂料。

包装贮运 180kg铁桶包装。贮运中要注意通风、干燥,防雨淋,忌曝晒,要远离热源,隔绝火源。

国内生产厂 上海新华树脂厂。

随便看

 

离鸟网收录3541549条中英文词条,其功能与新华字典、现代汉语词典、牛津高阶英汉词典等各类中英文词典类似,基本涵盖了全部常用中英文字词句的读音、释义及用法,是语言学习和写作的有利工具。

 

Copyright © 2004-2024 vtrois.com All Rights Reserved
更新时间:2026/4/7 18:25:13