网站首页  词典首页


请输入您要查询的字词:

 

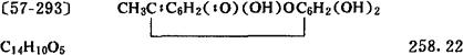
字词 9-Methyl-2,3,7-trihydroxy 6-fluoroe
类别 中英文字词句释义及详细解析
释义

9-Methyl-2,3,7-trihydroxy 6-fluoroe


[9-甲基-2,3,7-三羟基氧蒽酮-[6];Mcthyl fluorone;2,3,7 Trihydroxy-9-methyl xanthen-6-one]

性状 深红色或红褐色粉末。加热时颜色变深并分解。能溶于醇、乙酸、丙酮而呈黄绿色荧光。溶于碱水溶液中呈红色,不溶于水及稀酸。

注意事项 该品应密封避光保存。

随便看

 

离鸟网收录3541549条中英文词条,其功能与新华字典、现代汉语词典、牛津高阶英汉词典等各类中英文词典类似,基本涵盖了全部常用中英文字词句的读音、释义及用法,是语言学习和写作的有利工具。

 

Copyright © 2004-2024 vtrois.com All Rights Reserved
更新时间:2026/4/8 5:56:26