网站首页  词典首页


请输入您要查询的字词:

 

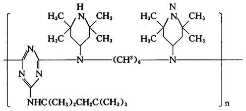
字词 Chimassorb 944 新型受阻胺类光稳定剂
类别 中英文字词句释义及详细解析
释义

Chimassorb 944 新型受阻胺类光稳定剂


【结构式】:

【释文】:

性质与用途 本品为聚合型光稳定剂,分子量>2500,有效N含量4.6%。粉末状物。适用于聚乙烯和聚丙烯。一般用量为0.1~0.4%。

国外生产厂 Chimosa公司 意大利

随便看

 

离鸟网收录3541549条中英文词条,其功能与新华字典、现代汉语词典、牛津高阶英汉词典等各类中英文词典类似,基本涵盖了全部常用中英文字词句的读音、释义及用法,是语言学习和写作的有利工具。

 

Copyright © 2004-2024 vtrois.com All Rights Reserved
更新时间:2026/4/8 16:04:02