网站首页  词典首页


请输入您要查询的字词:

 

字词 DLT-1号合成鞣剂
类别 中英文字词句释义及详细解析
释义

DLT-1号合成鞣剂


〔名称〕PO型合成鞣剂;DLT-1号合成鞣剂

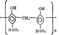
〔结构式〕

〔质量规格〕

〔性质〕

1.外观为淡红色粘稠液体,易溶于水,属混合型鞣剂。

2.具有溶解栲胶,减少沉淀和加速渗透的作用。

100克/升浓度的橡椀栲胶溶液加入20%DLT-1号合成鞣剂鞣液变化如下:

〔制备方法〕

〔用途〕

1.重革结合鞣。

例:猪底革鞣制工艺

预鞣:

用皮重 4%DLT-1号,旧鞣液相对密度为1.008(8°BKr)、pH4.5~6.0,4小时。

池、鼓鞣:

栲胶:DLT-1号为8∶2,配成11~80°BKr的鞣液。pH值3~3.2。

以后进行退鞣,加脂、整理。

2.用于毛皮鞣制。

例:DLT-1号--铬结合鞣绵羊皮鞣制。

液比 5

食盐 30g/l

硝 15g/l

DLT-1号 2g/l

亚硫酸氢钠 1.5g/l(100%计)

纯碱 1.4~1.8g/l

温度 30℃

pH值 3.5~4.0

时间 14~16小时

液比 5

食盐 30g/l

铬鞣液(Cr2O3计) 0.25g/l

pH值 3.3(投皮)3.5(出皮)

温度 38~47℃

时间 72小时

〔贮运使用注意事项〕

存放于阴凉处,避免高热和日光曝晒。

〔生产单位〕

丹东市轻化工研究所。

随便看

 

离鸟网收录3541549条中英文词条,其功能与新华字典、现代汉语词典、牛津高阶英汉词典等各类中英文词典类似,基本涵盖了全部常用中英文字词句的读音、释义及用法,是语言学习和写作的有利工具。

 

Copyright © 2004-2024 vtrois.com All Rights Reserved
更新时间:2026/4/8 6:33:46