网站首页  词典首页


请输入您要查询的字词:

 

字词 DLT-5号合成鞣剂
类别 中英文字词句释义及详细解析
释义

DLT-5号合成鞣剂


〔名称〕RT重革速鞣剂;DLT-5号合成鞣剂

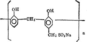
〔结构式〕

〔质量规格〕

〔性质〕

1.外观为淡黄色粘稠状液体,易溶于水,属混合型鞣剂。

2.具有溶解栲胶,加速栲胶渗透的作用。

3.收敛性温和,是性能较好的预鞣剂。

〔制备方法〕

〔用途〕

用于重革速鞣工艺作预鞣剂。

例 猪底革速鞣工艺

浸酸:

硫酸 1.8%

食盐 80%

液比 1

温度 常温

时间 5小时

预鞣:

DLT-5号 10%

温度 25~30℃

时间 转5小时,过夜

下转植鞣、退鞣工艺。

〔贮运使用注意事项〕

应存放于阴凉库房内,防止曝晒、避免与铁器接触。

〔生产单位〕

丹东市皮革化工厂。

随便看

 

离鸟网收录3541549条中英文词条,其功能与新华字典、现代汉语词典、牛津高阶英汉词典等各类中英文词典类似,基本涵盖了全部常用中英文字词句的读音、释义及用法,是语言学习和写作的有利工具。

 

Copyright © 2004-2024 vtrois.com All Rights Reserved
更新时间:2026/4/5 18:55:06