网站首页  词典首页


请输入您要查询的字词:

 

字词 D-甘露糖醇
类别 中英文字词句释义及详细解析
释义

D-甘露糖醇


结构式:

分子式:C6H14O6

相对分子质量:182.17

一、D-甘露糖醇的鉴别

1.试剂和溶液

1.1 氯化铁溶液 10g/100mL。

1.2 氢氧化钠溶液 4g/100mL。

1.3 无水乙酸 分析纯。

1.4 吡啶 分析纯。

2.操作步骤

2.1 将本品的水溶液(1+4)3mL,加到预先有氯化铁溶液(1.1)1mL的试管中,加氢氧化钠溶液(1.2)1.5mL,生成黄色沉淀,激烈搅拌使之混合,沉淀溶解变成黄色透明液体,再加氢氧化钠溶液,也不生成沉淀。

2.2 在本品0.5g中,加无水乙酸3mL及吡啶1mL,在水浴上不时边搅拌混合边加热,使之完全溶解,再加热5min后,冷却,往该液中加水20mL,充分混合放置5min后,滤取生成的结晶,水洗,用乙醚重结晶,其熔点是120~125℃。

二、D-甘露糖醇的含量测定

1.试剂和溶液

丙二醇 分析纯。

2.仪器

高效液相色谱仪。

3.测定方法

3.1 测定条件。

检测器:示差折射仪;

柱填充剂:9~10μm凝胶型磺化聚苯乙烯;

柱内径:4~8mm,长20~50cm不锈钢管;

柱温:50℃;

流动相:水;

流量:1mL/mino

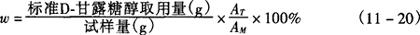
3.2 本品和定量用的D-甘露醇干燥后,精确称取各约1g,分别准确加水+丙二醇混合液(4+1)5mL,分别准确加水至10mL,分别作为检测液和标准液。各量取检测液和标准液10μL,按如下操作条件进行液相色谱分析。测定各溶液的D-甘露醇和丙二醇的峰高或峰面积,求出D-甘露醇的峰高与丙二醇的峰高之比或D-甘露糖醇的峰面积与丙二醇峰面积之比,分别为AT及AM,按式(11-20)求出D-甘露糖醇的质量分数。

4.分析结果的表述

式中 AT——D-甘露醇的峰高与丙二醇的峰高之比

AM——D-甘露糖醇的峰面积与丙二醇的峰面积之比

三、食品中甘露糖醇的测定

1.原理

样品加水提取糖类,然后减压浓缩除去水分,制备甘露糖醇的衍生物。制备其衍生物的方法有三甲基硅烷化(TMS)和乙酰化两种方法。然后进行气相色谱分析,TMS化时,与山梨糖醇的衍生物的分离效果不佳。本法用乙酰化法可以完全与山梨醇的衍生物分离。

2.试剂

2.1 丙酮。

2.2 木糖醇。

2.3 乙醚。

2.4 内标液 木糖醇在60℃减压干燥后,称量400mg,加蒸馏水溶解成100mL。

2.5 吡啶 分析纯。

2.6 无水吡啶 向吡啶中加入氢氧化钠结晶(颗粒状)。

2.7 无水硫酸钠 分析纯。

3.测定方法

3.1 采样及前处理。

3.1.1 口香糖:取白香糖数片切碎,混匀作为样品。

3.1.2 软粘糖(饴):取数块软粘糖粉碎后,混匀作为样品。

3.2 样品溶液的制备。

3.2.1 口香糖:准确称量均匀样品约2g,放入三角烧瓶中,加50mL水,放置过夜,过滤,残留物加25mL水,在60℃水浴上加热1h。然后用玻璃棒挤压不溶物,过滤。用水洗净三角烧瓶和过滤器,合并滤液和洗液,加水准确至100mL,作为样品溶液。

3.2.2 软粘糖(饴):准确称量均匀样品约2g,加50~70mL水溶解,必要时过滤,用水洗涤残留物,滤液和洗液合并后,准确至100mL,作为样品溶液。

3.3 测定液的制备 准确取40mL样品溶液,放入浓缩器中,准确加入5mL内标液,然后在60℃水浴上减压浓缩,除去水分,继续在60℃水浴上减压干燥。然后加14mL无水吡啶和7mL无水乙醇,在60~70℃水浴上激烈振荡溶解残渣,放置过夜,加20mL水后用10mL水定量地转移至分液漏斗中,用50mL,30mL,30mL乙醚萃取3次,合并全部萃取液,用20mL0.1mol/L(H2SO4)洗2次,再用10mL水洗1次。然后向乙醚层加无水硫酸钠,放置1h,过滤取液,残渣用50mL乙醚分数次洗涤,合并滤液和洗液移入圆底烧瓶中,减压蒸去乙醚,残渣加丙酮溶解,准确成10mL,作为测定液。

3.4 标准液的制备 D-甘露糖醇在60℃减压干燥后,准确称量400mg,加水溶解,准确成100mL,作为标准液(此液1mL含D-甘露糖醇4mg)。准确取标准液0,2.5mL,5.0mL,7.5mL,10mL,放入浓缩器中,各加5mL内标液,以下操作同3.3,作为标准曲线用标准液(此标准液1mL分别相当于D-甘露醇0,1mg,2mg,3mg,4mg)。

3.5 测定。

3.5.1 测定条件:用具氢火焰电离检测器的气相色谱仪(FID-GC),按下列条件进行测定。

填充剂:硅烷化处理的60-80目筛的气相色谱用硅藻土担体中加入XE-60(3%)的丙酮,蒸发丙酮之后作为填充剂;

色谱柱:玻璃管,内径3mm,长2m;

柱温:从150℃到220℃,6℃/min,程序升温;

检测器温度:250℃;

载气:氮气,40mL/min。

3.5.2 标准曲线:分别准确抽取标准曲线用标准液2μL,分别注入气相色谱仪中,根据峰高或峰面积,绘制标准曲线。

3.5.3 定量:准确抽取测定液2μL,注入气相色谱仪中,用测得的峰高或峰面积,查找标准曲线,求出测定液中的D-甘露糖醇浓度(mg/mL)。

4.分析结果的表述

按式(11-21)计算出样品中D-甘露醇质量分数(w)。

式中 ρ——测定液中的D-甘露糖醇浓度,mg/mL

m——取样量,g

图11-4

随便看

 

离鸟网收录3541549条中英文词条,其功能与新华字典、现代汉语词典、牛津高阶英汉词典等各类中英文词典类似,基本涵盖了全部常用中英文字词句的读音、释义及用法,是语言学习和写作的有利工具。

 

Copyright © 2004-2024 vtrois.com All Rights Reserved
更新时间:2026/4/5 18:32:52