网站首页  词典首页


请输入您要查询的字词:

 

字词 E-12环氧树脂
类别 中英文字词句释义及详细解析
释义

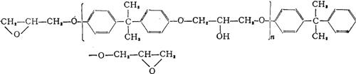
E-12环氧树脂


别名 604环氧树脂

结构式

性能 是中分子量双酚A型环氧树脂。能溶于酮类、醚类、二甲苯、甲乙酮等多种有机溶剂中,对金属、玻璃等材料附着力强,成膜固化后,具有优异的耐化学性和电绝缘性。

质量规格 HG2-741-72

用途 可用作防腐蚀涂料、绝缘漆。油墨中主要用于印铁罩光油、热固性油墨的制造中。

包装贮运 编织袋内衬塑料袋包装,25kg/袋。要存放于阴凉、通风、干燥之库房内,防雨淋。运输、贮存中,要注意远离火源、热源。

国内生产厂 上海树脂厂、上海新华树脂厂、湖南岳阳化工总厂、化工部晨光化工研究院二分厂、江苏无锡树脂厂、陕西西安树脂厂。

随便看

 

离鸟网收录3541549条中英文词条,其功能与新华字典、现代汉语词典、牛津高阶英汉词典等各类中英文词典类似,基本涵盖了全部常用中英文字词句的读音、释义及用法,是语言学习和写作的有利工具。

 

Copyright © 2004-2024 vtrois.com All Rights Reserved
更新时间:2026/4/8 3:20:09