网站首页  词典首页


请输入您要查询的字词:

 

字词 GPS观测量误差分析
类别 中英文字词句释义及详细解析
释义

GPS观测量误差分析


1.GPS误差的分类

在GPS测量中,影响观测量精度的主要误差来源可分为三类:第一类是与GPS卫星有关的误差;第二类是与信号传播有关的误差;第三类是与接收设备有关的误差。

这些误差的种类及其影响参见表18-43。为了便于理解,通常均把各种误差的影响投影到观测站至卫星的距离上,以相应的距离误差表示,并称为等效距离偏差。表中所列对观测距离的影响,即为与相应误差等效的距离偏差。如果根据误差的性质,上述误差尚可分为系统误差与偶然误差两类。

表18-43 GPS测量的主要误差

(1)系统误差

系统误差主要包括:卫星的轨道误差、卫星钟差、接收机钟差以及大气折射的误差等。为了减弱和修正系统误差对观测量的影响,一般根据系统误差产生的原因而采取不同的措施,其中包括:

1)引入相应的未知参数,在数据处理中同其他未知参数一并解算;

2)建立系统误差模型,对观测量加以修正;

3)将不同观测站对相同卫星的同步观测值求差,以减弱或消除系统误差的影响;

4)简单地忽略某些系统误差的影响。

(2)偶然误差

偶然误差主要包括信号的多种路径效应引起的误差和观测误差等。

2.与卫星有关的误差

与GPS卫星有关的误差,主要包括卫星的轨道误差和卫星钟的误差。

(1)卫星钟差

由于卫星的位置是时间的函数,所以GPS的观测量均以精密测时为依据。而与卫星位置相应的时间信息是通过卫星信号的编码信息传送给用户的。在GPS测量中,无论是码相位观测或载波相位观测,均要求卫星钟与接收机钟保持严格同步。实际上,尽管GPS卫星均设有高精度的原子钟(铷钟和铯钟),但它们与理想的GPS时之间仍存在着难以避免的偏差或漂移。这些偏差的总量均在1ms以内,由此引起的等效距离误差均可达300km。

对于卫星钟的这种偏差,一般可以通过对卫星钟运行状态的连续检测而精确地确定,并表示为以下二阶多项式的形式:

δtj=a0+a1(t-t0e)+a2(t-t0e)2

式中t0e——为参考历元;

a0——卫星钟的钟差;

a1——卫星钟的钟速(或频率偏差)

a2——卫星钟的钟速变率(或老化率)。

这些数值由卫星的主控站测定,并通过卫星的导航电文提供给用户。

经以上钟差模型改正后,各卫星钟之间的同步差可保持在20ns以内,由此引起的等效距离偏差将不会超过6m。卫星钟差或经改正后的残差,在相对定位中可通过观测量求差(或差分)的方法消除。

(2)轨道偏差

估计与处理卫星的轨道误差一般比较困难,其主要原因是卫星在运行中要受到多种摄动力的复杂影响,而通过地面监测站又难以充分可靠地测定这些作用掌握它们的作用规律。目前用户通过导航电文所得到的卫星轨道信息,其相应的位置误差约为20~50m。但随着摄动力模型和定轨技术的不断完善,预计上述卫星的位置精度将可提高到5~10m。

卫星的轨道误差是当前利用GPS定位的重要误差来源之一。GPS卫星距地面观测站的最大距离约为25000km,如果基线测量的允许误差为1cm,则当基线长度不同时,允许的轨道误差大致见表18-44。可见,在相对定位中随着基线长度的增加,卫星轨道误差将成为影响定位精度的主要因素。

表18-44 基线长度与容许轨道误差

在GPS测量中,根据不同的要求,处理卫星轨道误差的方法原则上有三种:

1)忽略轨道误差

这是简单地认为由导航电文所获知的卫星轨道信息是不含误差的。很明显,这时卫星轨道实际存在的误差将成为影响定位精度的主要因素之一。这一方法广泛地应用于实时定位工作。

2)采用轨道改进法处理观测数据

其基本思想是在数据处理中引入表征卫星轨道偏差的改正参数,并假设在短时间内这些参数为常量,将其作为待估计量与其他未知参数一并求解。

由前面的讨论已知,卫星的轨道偏差主要是由于各种摄动力的综合作用而产生的。由于摄动力对卫星轨道6个参数的影响并不相同(表18-45),而且在对卫星轨道摄动进行修正时,所采用的各摄动力模型精度也不一样,所以在以轨道改进法进行数据处理时,根据引入轨道偏差改正数的不同,又分为短弧法和半短弧法:

表18-45 摄动力对卫星轨道的影响(以m计)(1987.5.14,4h积累量)

①短弧法。即引入全部6个轨道偏差改正数作为待估参数,在数据处理中与其他待估参数一并求解。这种方法可明显地减弱轨道偏差的影响,从而提高定位的精度,但其计算工作量较大。

②半短弧法。根据摄动力对轨道参数的不同影响,只对其中影响较大的参数引入相应的改正数作为待估参数。由表18-46可见,月球摄动力对轨道参数Mss和as的影响较大,也就是说对轨道的切向和径向影响较大。所以,当采用半短弧法处理观测成果时,一般普通引入轨道切向、径向和法向(垂直轨道面方向)3个改正数作为待估量。半短弧法计算工作量较短弧法明显减少,但同样可以有效地减弱轨道偏差的影响。根据分析,目前经半短弧法修正后的卫星轨道偏差将不会超过10m。轨道改进法一般用于精度要求较高的定位工作,需要测后处理。

3)同步观测求值

这一方法是利用在两个或多个观测站上,对同一卫星的同步观测值求差,以减弱卫星轨道误差的影响。由于同一卫星的位置误差,对不同观测站同步观测量的影响具有系统性质,所以通过上述求差的方法,可以明显地减弱卫星轨道误差的影响,尤其当基线较短时,其有效性甚为明显。这种方法对于精密相对定位具有极其重要的意义。

(3)卫星几何分布的影响

GPS定位中,观测精度与测站同卫星的几何分布状态关系密切。几何分布的强度因子也称为卫星的精度因子,即PDOP和GDOP两个参数,决定于观测时刻的可见卫星数目、卫星的高度角和方位。无论是绝对定位还是相对定位,其值不能超过一定的限度。现行规范规定:A级、B级及C级定位时的PDOP应分别≤4、6、8。图18-148表示几何因子与观测次数的关系。可知,相同的观测次数,图形强度因子越低,观测值精度越低。

图18-148 图形因子与观测次数的影响

3.卫星信号的传播误差

地球大气层90%以上物质分布在约30km高度以内。在研究大气层对电磁波的影响时,一般将其分为对流层和电离层两个层次。卫星信号的传播误差主要包括大气折射误差和多路径效应。

(1)电离层折射的影响与减弱措施

电离层是离子化的大气层,电离气体分子的弥散作用,使折射率下降。GPS卫星信号和其他电磁波信号一样,当其通过电离层时将受到这一介质弥散特性的影响,使信号的传播相位(时间)延迟,距离增长。假设由此引起电磁波信号传播路径的变化为△I

式中n——电离层的折射率;

s——信号的传播路径。

对码相位观测,按群折射率引起的传播路径差为:

对载波相位观测,按相折射率计算的传播路径差为:

式中N——信号传播路径上的电子总量,

Ne——电子密度。

可见,电离层对信号传播路径影响的大小,主要取决于电子总量N和信号的频率f。

对于GPS卫星信号来说,在夜间当卫星处于天顶方向时,电离层折射对距离的影响将小于5m;而在日间正午前后,当卫星接近地平线时,其影响可能大于150m。为了减弱电离层的影响,GPS测量中通常采取以下措施:

1)计算改正量

GPS单频接收机,为了减弱电离层影响,一般利用由导航台提供的电离层模型或其他适宜的电离层模型计算改正量,但是目前的有效性不会高于75%,即当电离层延迟为50m时,改正后仍可能有12.5m的残差。目前,这种模型至今仍在完善中。

2)利用双频观测

由于电离层的影响是信号频率的函数,所以利用不同频率的电磁波信号进行观测,便可能确定其影响的大小,以便对观测量加以修正。

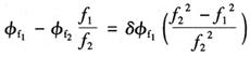
假设△Ig(L1)为用L1载波的码观测时电离层对距离观测值的影响,分别为L1和L2同步观测所得的测站至卫星的距离,取

对于GPS的载波L1和L2的频率,则电离层对L1载波的传波路径的影响可以由伪距差估计:

Ig(L1)=-1.5457δρ

对于L1载波相位观测量的影响可以用两频率的相位观测量估计:

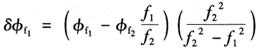
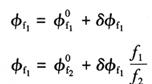
δΦIp(L1)=-1.5457(Φf1-1.2833Φf2)

式中δΦIp——用频率的f1载波观测时,电离层折射对相位观测量的影响;

Φf1和Φf2——相应于频率f1和f2的载波相位观测量。

上式证明如下:

结合f1和f2可得:

于是有

由于两波在无电离层影响时的时间相等,得:

将上述两Φf1式相减,可得利用两种不同频率进行观测时的相位差,得:

于是可得改正量:

对于GPS来说,已知f1=1.57542GHz,f2=1.22760GHz,所以延迟改正量可得:

将各个频率值代入后可得式。经电离层折射改正后的相位值由上式得:

实践表明,采用1.57542GMz和1.22760GMz的双频观测,进行修正,其消除电离层影响的有效性将不低于95%。因此,具有双频的GPS接收机,在精密定位工作中得到了广泛地应用。不过应当指出,在太阳辐射强烈的正午或在太阳黑子活动的异常期,虽经上述模型修正,但由于模型的不完善而引起的残差仍可能是明显的,这在拟定精密定位的观测计划时应慎重考虑。

目前,为进行高精度的卫星导航和定位,普遍采用双频观测技术,以有效地减弱电离层折射影响。不过,若采用频率不同的双频组合,其对电离层影响的改善程度也将不同。表18-46列出了经不同双频观测改正后,仍可能含有的电离层折射的残差。与表18-45相比较,显然可见,利用双频技术可有效地减弱电离层折射的影响是显而易见的。

表18-46 经不同双频改正后电离层折射的残差

实际资料分析表明,经GPS双频观测修正后的距离残差为厘米级。但是,在太阳黑子活动高峰期内,于中午观测时这种残差将明显增大。

3)利用电离层模型修正

对于单频机用户,一般采用由导航电文提供的电离层模型,或其他适宜的电离层修正模型来进行修正。目前使用模型修正的有效性可能低于75%,即当影响为50m时改正后还余12.5m,这些修正模型至今仍在发展中。

4)利用同步观测值求差

这一方面是利用两台或多台接收机对同一组卫星的同步观测值求差,以减弱电离层折射的影响。尤其当观测站的距离较近时(如小于10km),由于卫星到达不同观测站的路径相近,所经过的介质状况相似,所以通过不同观测站对相同卫星的同步观测值求差,便可显着地减弱电离层折射影响,其残差将不会超过1×10-6。对具有单频接收机的用户,这一方法的重要意义尤为明显。

用两台接收机在基线的两端进行同步观测并取其观测量之差,可以减弱电离层折射的影响。这是因为当观测站相距不太远时,由卫星至两观测站电磁波传播路径上的大气状况甚为相似,因此大气状况的系统影响便可能过同步观测量的求差而减弱。所以在GPS测量中,对于短距离的相对定位,使用单频接收机也可达到相当高精度。但随着基线长度的增加,其精度将随之明显降低。

(2)对流层的影响和改正

对流层指从地面向上约40km的大气底层。对流层的大气基本属于中性,电磁波的速度基本与频率无关,但是其中的各种天气现象、水滴、尘埃等对电磁波有很大影响。折射系数随高度下降。由于对流层的介质对GPS信号没有弥散效应,所以其群折射率与相折射率可认为相等。

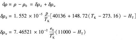
对流层折射对观测值的影响可分为干分量与湿分量两部分,干分量主要与大气的温度与压力有关,而湿分量主要与信号传播路径的大气湿度和高度有关。

设测站至卫星的距离为ρ0,折射的影响为观测距离与真实距离之差。一种估计方法是假定它为对流层干分量(主要由气压决定)和湿分量(主要由湿度决定)构成。有如下列公式:

式中p——地面大气压(mbar);

e0——水汽压(mbar);

TK——绝对温度(K);

HT——测站的高程(m)。

由于对流层折射的影响,当卫星处于天顶方向时,对流层干分量对距离观测值的影响约占对流层影响的90%,且这种影响可以应用地面的大气资料计算。若地面平均大气压为1013mba,则在天顶方向向干分量对所测距离的影响约为2.3m,而当高度角为10°时其影响约为20m。湿分量的影响虽数值不大,但由于难于可靠地确定信号传播路径上的大气物理参数,所以湿分量尚无法准确地测定。因此,当要求定位精度较高或基线较长时(如大于50km),它将成为误差的主要来源之一。

减小对流层影响的主要措施有:

1)定位精度要求不高时,可以简单地忽略。

2)尽可能充分掌握测站周围地区的实时气象资料;采用对流层模型加以改正。为此,可取以上两式之一来计算距离观测值的改正量。理论分析和实验表明,各种对流层改正模型,即使用实测的气象资料,也难以将对流层影响减小92%~95%。

3)利用水汽辐射计,测定传播路径上的水汽积累量,以便计算大气湿分量的改正项。虽然这一方法精度很高,但是设备昂贵,难以广泛使用。

4)引入描述对流层影响的附加待估参数,在数据处理中一并求解。

5)观测量求差。利用相对定位的差分方法,减弱对流层大气折射的影响。基线小于10km时,在稳定的大气条件下,基线两端的水气含量、大气压以及大气稳定条件均相似,使用同步观测量求差,可以有效地减弱大气折射的影响。与电离层的影响相类似,当两观测站相距不太远时(如小于10km),由于信号通过对流层的路径相近,对流层的物理特性相似,所以对同一卫星的同步观测值求差,可以明显地减弱对流层折射的影响。因此,这一方法在精密相对定位中应用甚为广泛。不过,随着同步观测站之间距离的增大,地区大气状况的相关性很快减弱,这一方法的有效性也将随之降低。根据经验,当距离大于50~100km时,对流层的折射对GPS定位精度的影响将成为决定性的因素之一。

(3)多路径效应影响

与卫星信号传播有关的误差主要包括大气折射误差和多路径效应。所谓多路径效应,即接收机天线除直接接收到卫星的信号外,尚可能收到经天线周围地物反射的卫星信号(图18-149)。两种信号叠加将会引起测量参考点(相位中心)位置的变化,而且这种变化随天线周围反射面的性质而异,难以控制。多路径效应具有周期性的特征,其变化幅度可达数厘米。在同一地点,当所测卫星的分布相似时,多路径效应将会重复出现。减弱多路径效应影响的主要办法有:

图18-149 多路径效应

1)选择造型适宜且屏蔽良好的天线。

2)安置接收机天线的环境应避开较强的反射面,如水面、平坦光滑的地面和平整的建筑物表面等。

3)用较长观测时间的数据取平均值。

4.与接收设备有关的误差

与用户接收设备有关的误差主要包括:观测误差、接收机钟差、相位中心误差和载波相位观测的整周不定性误差。

(1)观测误差

这类误差除观测的分辨误差之外,尚包括接收机天线相对测站点的安置误差。根据经验,一般认为观测的分辨误差约为信号波长的1%。由此,对GPS码信号和载波信号的观测精度见表18-47。观测误差属偶然性质的误差,适当增加观测量将会明显地减弱其影响。

表18-47 码相位与载波相位的分辨误差

接收机天线相对观测站中心的安置误差,主要有天线的置平与对中误差和量取天线相位中心高度(天线高)的误差。例如,当天线高度为1.6m时,则由此引起光学对中器的对中误差约为3mm。因此,在精密定位工作中必须仔细操作,以尽量减少这种误差的影响。

(2)接收机的钟差

GPS接收机一般设有高精度的石英钟,其稳定度约为10-11。如果接收机钟与卫星钟之间的同步差为1μs,则由此引起的等效距离误差约为300m。

处理接收机钟差比较有效的方法,是在每个观测站上引入一个钟差参数作为未知数,在数据处理中与观测站的位置参数一并求解。这时,如假设在每一观测瞬间钟差都是独立的,则处理较为简单,所以,这一方法广泛应用于实时定位。在静态绝对定位中,也可像卫星钟那样,将接收机钟差表示为多项式的形式,并在观测量的平差计算中求解多项式的系数。不过这将涉及到构成钟差模型时,对钟差特性所作假设的正确性。

在定位精度要求较高时,可以采用高精度的外接频标(即时间标准),如铷原子钟或铯原子钟,以提高接收机时间标准的精度。在精密相对定位中,还可以利用观测值求差的方法有效地消除接收机钟差的影响。

(3)载波相位观测的整周待定值误差

前已指出,载波相位观测法是当前普遍采用的最精密的观测方法,它可精确地测定卫星至观测站的距离。但是,由于接收机只能测定载波相位差非整周的小数部分,以及从某一起始历元至观测历元间载波相位变化的整周数,而无法直接测定载波相位相应该起始历元在传播路径上变化的整周数。因而,在测相伪距观测值中,将存在整周待定值的影响,这是载波相位观测法的主要缺点。

另外,已知载波相位观测除了存在上述整周待定值之外,在观测过程中还可能发生正周变跳问题。当用户接收机收到卫星信号并进行实时跟踪(锁定)后,载波信号的整周数便可由接收机自动地计数。但是在中途,如果卫星的信号被阻挡或受到干扰,则接收机的跟踪便可能中断(失锁)。而当卫星信号被重新锁定后,被测量载波相位的小数部分将仍和未发生中断的情形一样,是连续的,可这时整周数却不再是连续的。这种情况称为整周变跳或周跳。周跳现象在载波相位观测中是经常发生的,它对距离观测的影响和整周待定值的影响相似,在精密定位的数据处理中,都是一个非常重要的问题。

(4)天线的相位中心位置偏差

在GPS测量中,无论是测码伪距或测相伪距,观测值都是以接收机天线的相位中心位置为准,而天线的相位中心与其几何中心,在理论上应保持一致。可是实际上,天线的相位中心随着信号输入的强度和方向不同而有所变化,即观测时相位中心的瞬时位置(一般称视相位中心)与理论上的相位中心有所不同。天线相位中心的偏差对相对定位结果的影响,根据天线性能的好坏可达到数毫米至数厘米。所以对于精密相对定位来说,这种影响也是不容忽视的,而如何减小相位中心的偏移是天线设计中的一个迫切问题。

在实际工作中,如果使用同一类型的天线,在相距不远的两个或多个观测站上同步观测了同一组卫星,那么,便可以通过观测值的求差来削弱相位中心偏移的影响。不过,这时各观测站的天线均应按天线附的方位标进行定向,使之根据罗盘指向磁北极。根据不同的精度要求,定向偏差应保持在3°~5°以内。

5.其他误差来源

除上述三类误差的影响外,这里再简单地介绍一下其他一些理论上可能存在的误差来源,如地球自转以及相对论效应对GPS测量的影响。

(1)地球自转的影响

在协议地球坐标系中,如果卫星的瞬时位置是根据信号发播的瞬时计算的。那么尚应考虑到地球自转的改正。因为当卫星信号传播到观测站时,与地球相固联的协议地球坐标系相对卫星的上述瞬时位置已产生了旋转(绕Z轴)。若取为地球的自转速度,则旋转的角度为:

式中——卫星信号传播到观测站的时间延迟。

由此引起卫星在上述坐标系中的坐标变化(△X,△Y,△Z)为:

式中(Xj,Yj,Zj)——卫星的瞬时坐标

由于旋转角△α<1.5″,所以当取至一次微小项时,上式可简化为:

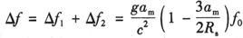
(2)相对论效应的影响

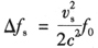
根据狭义相对论的观点,一个频率为f的振荡器安装在飞行的载体上,由于载体的运动,对地面的观测者来说将产生频率偏移。因此在地面上具有频率为f0的时钟,安设在以速度vs运行的卫星上后,钟频将发生变化,其改变量已知为:

这说明在狭义相对论的影响下,时钟安装在卫星上之后将变慢。若应用已知关系式:

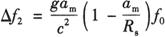
代入前一式:

式中g——地面重力加速度;

c——光速;

am——地球平均半径;

Rs——卫星轨道平均半径。

另外,根据广义相对论,处于不同等位面的振荡器,其频率将由于引力位不同而产生变化。这种现象常称为引力频移,其大小可按下式估算:

式中△W——不同等位面的位差,

由此卫星钟的引力频率可写为:

在狭义与广义相对论的综合影响下,卫星钟频率的变化应为:

GPS卫星钟的标准频率f0=10.23MHz,所以可得:

△f=0.00455Hz

这说明GPS的卫星钟比地面钟要快,每秒约差0.45ms。消除这一影响的办法,一般是将GPS卫星钟的标准频率减小约4.5×10-3Hz。但是,由于地球的运动和卫星轨道高度的变化以及地球重力场的变化,上述相对论效应的影响并非常数。所以经上述改正后仍有残差,其对卫星钟差的影响约为:

式中es——卫星轨道偏心率;

as——卫星轨道长半径;

Es——偏近点角。

而对卫星钟速(频偏)的影响为:

考虑到上式可改写为:

数字分析表明,上述残差对GPS时的影响最大可达70ns,对卫星钟速的影响可达0.1ns/s。显然,对于精密的定位工作来说,这种影响是不应忽略的。

最后需要指出的是,在GPS测量中除上述各种误差外,卫星钟和接收机钟振荡器的随机误差、大气折射模型和卫星轨道摄动模型的误差、地球潮汐以及信号传播的相对论效应等,也都会对GPS的观测量产生影响。随着对长距离定位精度要求的不断提高,研究这些误差来源并确定它们的影响规律具有重要意义。

随便看

 

离鸟网收录3541549条中英文词条,其功能与新华字典、现代汉语词典、牛津高阶英汉词典等各类中英文词典类似,基本涵盖了全部常用中英文字词句的读音、释义及用法,是语言学习和写作的有利工具。

 

Copyright © 2004-2024 vtrois.com All Rights Reserved
更新时间:2026/4/5 14:39:51