网站首页  词典首页


请输入您要查询的字词:

 

字词 L-α-天冬氨酰-N-(2,2,4,4-四甲基-3-硫化三亚甲基)-D-丙氨酰胺
类别 中英文字词句释义及详细解析
释义

L-α-天冬氨酰-N-(2,2,4,4-四甲基-3-硫化三亚甲基)-D-丙氨酰胺


别名 阿力甜、天冬酰-丙氨酰胺

编码 GB 19.013;INS 956

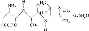
化学结构

C14H25N3O4S·2.SH2O

相对分子质量 376.5

性状 白色结晶性粉末,无臭,有强甜味,风味与蔗糖接近,无后苦味和金属味,甜度为蔗糖的2000倍。不吸湿,稳定性高,易溶于水(13.1%)、乙醇(61%)和甘油(53.7%)。5%水溶液的pH约为5.6。室温下,pH5~8的溶液,其贮存半衰期为5年。

制法 L-天门冬氨酸、D-丙氨酸及2,2,4,4-四甲基-3-硫化亚甲胺进行化学偶合或酶法偶合制取。

质量标准

*引自美国辉瑞公司(Pfizerinc)申请许可使用规格标准(1994)。

鉴别方法

(1)取5mL0.3%茚三酮-正丁醇溶液及2mL冰乙酸于试管中,加10mg试样混合,加热产生深蓝紫色。

(2)取5mL新配制0.016%高锰酸钾溶液,加10mg样品混合,溶液由紫色变为棕色。

毒理学依据

1.LD50 大鼠口服大于5g/kg(bw)(美国)。

小鼠口服12.654g/kg(bw)(广州市中山医科大学)。

2.骨髓微核试验 未见有致突变作用(广州市中山医科大学)。

以本品564mg/kg·d-1和1055mg/kg·d-1的剂量分别喂饲大鼠和小鼠2d,无致畸、致癌性。

采用双盲法并用安慰剂做对照。对正常人(142人)、糖尿病人(Ⅰ型、Ⅱ型138人)日口服剂量10mg/kg,连续90d,未见产生肝酶诱导缺乏及不利效应。食后血糖与禁食后血糖无显着差异,对糖尿病控制没影响。

使用 甜味剂

1.使用注意事项

(1)本品也是二肽甜味剂,但不含苯丙氨酸,故不像天门冬酰苯丙氨酸甲酯那样,无“苯丙酮尿症患者不宜使用”的限制。

(2)因本品甜度高,直接使用时不易控制,可先稀释。制作固体干粉时,用麦芽糊精、木糖醇或其它安全的适宜稀释剂混合。制作液体,可部分或全部用钾、钠、镁或钙的氢氧化物中和,并注意防腐。

(3)将本品0.01%水溶液、0.01mol/L磷酸盐缓冲液(pH7~8)加热100℃,30min内甜度不变。含本品的食品可经受巴氏消毒。

2.使用范围及使用量

(1)我国《食品添加剂使用卫生标准》(GB 2760-1996)规定:用于饮料,冰淇淋、雪糕的最大使用量0.1g/kg;胶姆糖、陈皮、话梅、话李、杨梅干为0.3g/kg;餐桌甜味剂0.015g/包(或片)。

(2)实际使用参考:本品尚可用于低热量食品、焙烤食品、软硬糖果、乳制品,用量为30~300mg/kg。

随便看

 

离鸟网收录3541549条中英文词条,其功能与新华字典、现代汉语词典、牛津高阶英汉词典等各类中英文词典类似,基本涵盖了全部常用中英文字词句的读音、释义及用法,是语言学习和写作的有利工具。

 

Copyright © 2004-2024 vtrois.com All Rights Reserved
更新时间:2026/4/7 21:56:40