网站首页  词典首页


请输入您要查询的字词:

 

字词 Mark CDA 1
类别 中英文字词句释义及详细解析
释义

Mark CDA 1


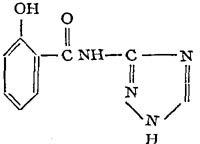
【结构式】:

日本アデカ·ア-ガス化学公司产品。具有如下化学结构:

【释文】:

本品为固体状物。熔点301~305℃。有钝化金属离子的作用。污染性小,特别是在温水浸渍后的着色性及光着色性都很小。本品在聚丙烯中抗氧效果尤为显着。

随便看

 

离鸟网收录3541549条中英文词条,其功能与新华字典、现代汉语词典、牛津高阶英汉词典等各类中英文词典类似,基本涵盖了全部常用中英文字词句的读音、释义及用法,是语言学习和写作的有利工具。

 

Copyright © 2004-2024 vtrois.com All Rights Reserved
更新时间:2026/4/9 17:51:52