网站首页  词典首页


请输入您要查询的字词:

 

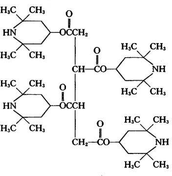
字词 Mark LA-57受阻胺类稳定剂
类别 中英文字词句释义及详细解析
释义

Mark LA-57受阻胺类稳定剂


【释文】:

化学式

性质与用途 该品分子量790。有效N含量7.1%。光稳定效能高,适用于聚乙烯、聚丙烯、聚苯乙烯、ABS树脂及聚酯等树脂。

国外生产厂 ァデカ·ァ—ガス化学公司 日本

随便看

 

离鸟网收录3541549条中英文词条,其功能与新华字典、现代汉语词典、牛津高阶英汉词典等各类中英文词典类似,基本涵盖了全部常用中英文字词句的读音、释义及用法,是语言学习和写作的有利工具。

 

Copyright © 2004-2024 vtrois.com All Rights Reserved
更新时间:2026/4/8 0:39:13