网站首页  词典首页


请输入您要查询的字词:

 

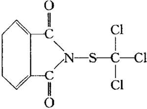
字词 N-(三氯甲基硫代)邻苯二甲酰亚胺
类别 中英文字词句释义及详细解析
释义

N-(三氯甲基硫代)邻苯二甲酰亚胺


【结构式】:

【释文】:

性质 粉末状物。在使用浓度范围内无毒、无刺激性。

用途 本品可作为聚氯乙烯等乙烯基塑料的防霉剂。杀菌防霉效力高,热稳定性好,适用于压延、挤塑和增塑糊等制品。与树脂料的相容性好,可用于透明制品和不透明制品。

国外生产厂

随便看

 

离鸟网收录3541549条中英文词条,其功能与新华字典、现代汉语词典、牛津高阶英汉词典等各类中英文词典类似,基本涵盖了全部常用中英文字词句的读音、释义及用法,是语言学习和写作的有利工具。

 

Copyright © 2004-2024 vtrois.com All Rights Reserved
更新时间:2026/4/7 8:54:28