网站首页  词典首页


请输入您要查询的字词:

 

字词 N,N′-二乙酰基己二酰基二酰肼
类别 中英文字词句释义及详细解析
释义

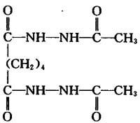
N,N′-二乙酰基己二酰基二酰肼


【结构式】:

【释文】:

性质 白色结晶粉末。分子量258。熔点252~257℃。微溶于醋酸乙酯、丙酮、氯仿和甲醇,不溶于苯、正己烷。

用途 本品为金属螯合剂,适用于聚烯烃、聚苯乙烯、.ABS树脂、聚氯乙烯及橡胶等。一般用量为0.3~0.5份。与酚类抗氧剂和过氧化物分解剂(如DLTP、亚磷酸酯类)并用,有良好的协同效应。

国外生产厂

随便看

 

离鸟网收录3541549条中英文词条,其功能与新华字典、现代汉语词典、牛津高阶英汉词典等各类中英文词典类似,基本涵盖了全部常用中英文字词句的读音、释义及用法,是语言学习和写作的有利工具。

 

Copyright © 2004-2024 vtrois.com All Rights Reserved
更新时间:2026/4/9 9:41:14