网站首页  词典首页


请输入您要查询的字词:

 

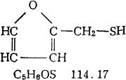
字词 α-糠基硫醇
类别 中英文字词句释义及详细解析
释义

α-糠基硫醇


由糠醇与硫化氢生成二糠基二硫,然后还原成硫醇。

性质 无色油液,具极强力和扩散刺激气味,但在合适的稀释度下呈似咖啡、焦糖般灼热甜味;相对密度1.1319,沸点155℃,折光指数1.5329,不溶于水而溶于乙醇和油类。

用途 用于调配食用香精,主为仿制咖啡、重组速溶咖啡、巧克力香精、果及坚果复合物等。

随便看

 

离鸟网收录3541549条中英文词条,其功能与新华字典、现代汉语词典、牛津高阶英汉词典等各类中英文词典类似,基本涵盖了全部常用中英文字词句的读音、释义及用法,是语言学习和写作的有利工具。

 

Copyright © 2004-2024 vtrois.com All Rights Reserved
更新时间:2026/4/8 6:01:18