网站首页  词典首页


请输入您要查询的字词:

 

字词 一元线性回归法
类别 中英文字词句释义及详细解析
释义

一元线性回归法


又称最小二乘法。它是应用数学计算方法,得出x与y的回归函数(经验公式):

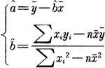
式中的纵截距a与回归系数b的估计值的计算公式是:

这样就得出一元线性回归方程(经验公式):

注意:一般来说,任何一组数据都可以用来计算得出回归方程。但这方程是否具有实用价值,就须经过相关系数检验。另外,就算检验后认为可信是相关关系,也还需进行科学技术分析,排除其假相关情况,才能证实其实用价值。

利用回归方程进行试测时,对给出的因素X的定值x0,假定其对应的结果是随机变量Y服从正态分布,就可预报y的95%可能的取值范围:

其中,

随便看

 

离鸟网收录3541549条中英文词条,其功能与新华字典、现代汉语词典、牛津高阶英汉词典等各类中英文词典类似,基本涵盖了全部常用中英文字词句的读音、释义及用法,是语言学习和写作的有利工具。

 

Copyright © 2004-2024 vtrois.com All Rights Reserved
更新时间:2026/4/8 13:12:40