网站首页  词典首页


请输入您要查询的字词:

 

字词 一般抹灰砂浆材料用量计算
类别 中英文字词句释义及详细解析
释义

一般抹灰砂浆材料用量计算


抹灰砂浆分为水泥砂浆、石灰砂浆、混合砂浆(水泥石砂浆)。抹灰砂浆配合比均以体积比计,其材料用量按体积比计算公式为:

当砂用量计算超过1立方米时,因其孔隙容积已大于灰浆数量,均按立方米计算。其水泥容重按1200千克/米3,砂密度按2.65克/厘米3,砂容重按1550千克/米3;砂孔隙率=

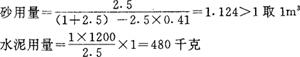
〔计算例1〕 水泥砂浆配合比为1∶2.5(水泥∶砂),求材料用量。

〔计算例2〕 石灰砂浆配合比为1∶3(石灰膏∶砂),求材料用量。

〔计算例3〕 水泥石灰浆配合为1∶0.3∶4(水泥∶石灰膏∶砂),求材料用量。

说明:1立方米石灰膏需用生石灰重量为600千克,则上式0.075×600=45kg。

随便看

 

离鸟网收录3541549条中英文词条,其功能与新华字典、现代汉语词典、牛津高阶英汉词典等各类中英文词典类似,基本涵盖了全部常用中英文字词句的读音、释义及用法,是语言学习和写作的有利工具。

 

Copyright © 2004-2024 vtrois.com All Rights Reserved
更新时间:2026/4/8 16:22:03