网站首页  词典首页


请输入您要查询的字词:

 

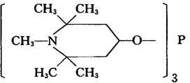
字词 三(1,2,2,6,6-五甲基哌啶基)亚磷酸酯
类别 中英文字词句释义及详细解析
释义

三(1,2,2,6,6-五甲基哌啶基)亚磷酸酯


【结构式】:

【释文】:

制法 由五甲基哌啶醇和三氯化磷反应而得。

性质 白色结晶粉末。分子量541。熔点122~124℃。溶于乙醇、氯仿、丙酮、苯等溶剂,难溶于水。

用途 本品为受阻胺类光稳定剂,它本身没有吸收紫外线的能力,但可捕捉聚合物降解所产生的活性自由基,分解氢过氧化物和传递激发态分子的能量等。光稳定效率为一般紫外线吸收剂的2~4倍。本品适用于聚乙烯、聚丙烯等塑料,与树脂的相容性好,加工性能亦佳,除具有光稳定作用外,还兼有良好的抗热氧老化性能。但本品耐热水性能较差,不宜在热水介质中长期使用,此外,本品最好在270℃以下的温度加工和使用,超过此温时失重较为严重。

毒性 本品毒性低,对大白鼠的经口LD50为1g/kg体重。

国内生产厂

浙江瑞安氮肥厂 太原溶剂厂 上海中华化工厂

随便看

 

离鸟网收录3541549条中英文词条,其功能与新华字典、现代汉语词典、牛津高阶英汉词典等各类中英文词典类似,基本涵盖了全部常用中英文字词句的读音、释义及用法,是语言学习和写作的有利工具。

 

Copyright © 2004-2024 vtrois.com All Rights Reserved
更新时间:2026/4/9 12:56:34