网站首页  词典首页


请输入您要查询的字词:

 

字词 三氯蔗糖
类别 中英文字词句释义及详细解析
释义

三氯蔗糖


商品名:Sucralose

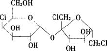
结构式:

化学名:1,6-Dichloro-1,6-dideoxy-β-D-fructofuranosyl-4-chloro-4-deoxy-α-Dgalactopyranoside

分子式:C12H19Cl3O8

相对分子质量:397.64

一、三氯蔗糖的鉴别

1.试剂和溶液

1.1 硝酸试液。

1.2 氢氧化钠试液。

1.3 硝酸银试液。

2.操作步骤

溶解50mg样品在5mL新鲜煮沸并冷却的水中,加5滴硝酸试液,通过0.45μm滤膜过滤去乳状物。加2mL溶液于2mL氢氧化钠试液中,并通过0.45μm滤膜除去沉淀。煮沸澄清液3min,然后冷却,用1.5mL硝酸试液酸化,加0.2mL硝酸银试液,产生混浊或白色沉淀。

二、三氯蔗糖的含量测定

1.试剂和溶液

1.1 三氯蔗糖标准溶液 精确称取100mg三氯蔗糖参考标准物,用移动相溶解并稀释至10mL,混匀,通过0.45μm滤膜过滤,记录标准物质量为m/s。

1.2 HPLC移动相 乙腈+水(150+850),混匀,脱气后使用。

2.测定方法

2.1 HPLC操作条件。

分析柱:10cm5μm C18反相柱;

流速:1.5mL/min;

波长:190nm。

2.2 测定。

精确称取100mg样品于10mL容量瓶,用移动相溶解并稀释至刻度,摇匀,通过0.45μm过滤,记录样品质量为m/t。

进20μL样品溶液进行HPLC分析,连续进2次,取平均峰面积At

同时进20μL标准溶液进行HPLC分析,连续进2次,取平均峰面积As

3.分析结果的表述

根据式(11—15)计算三氯蔗糖质量分数(w)。

式中 At——试样的峰面积

A——标准溶液的峰面积

mt——试样质量,g

ms——三氯蔗糖标准物的质量,g

随便看

 

离鸟网收录3541549条中英文词条,其功能与新华字典、现代汉语词典、牛津高阶英汉词典等各类中英文词典类似,基本涵盖了全部常用中英文字词句的读音、释义及用法,是语言学习和写作的有利工具。

 

Copyright © 2004-2024 vtrois.com All Rights Reserved
更新时间:2026/4/7 6:49:39