网站首页  词典首页


请输入您要查询的字词:

 

字词 三氯蔗糖
类别 中英文字词句释义及详细解析
释义

三氯蔗糖


别名 三氯半乳蔗糖、蔗糖素

编码 GB 19.000;INS 955

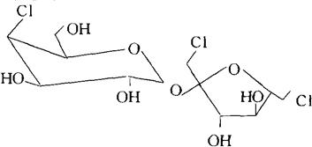
化学结构

C12H19C13O8 相对分子质量 397.64

性状 白色至近白色结晶性粉末,实际无臭,不吸湿、相对密度1.66(20℃),熔点(分解)125℃(升温速率5℃/min),稳定性高。甜味与蔗糖相似,甜度为蔗糖的600倍(400~800倍)。极易溶于水、乙醇和甲醇,微溶于乙醚。10%水溶液的pH为5~8。

制法 以蔗糖为原料,用卤素(氯)选择性地取代其一定位置上的羟基而制成。

质量标准

鉴别方法

1.溴化钾压片样品的红外吸收光谱与用标准三氯蔗糖同样制备者,在相同波长处显示相对最大(强度可不同)。

2.样品所得液相色谱图中主峰(排除溶剂峰)的滞留时间与标准样相似。

3.试样液薄层色谱图中主斑点的Rf值与标准样液所得相同。

毒理学依据

1.LD50 小鼠口服16g/kg(bw)。

大鼠口服10g/kg(bw)。

2.ADI 0~15mg/kg(bw)(FAO/WHO,1994)。

使用 甜味剂、增味剂。

1.使用注意事项

(1)本品为蔗糖衍生物,风味近似蔗糖,但甜度高,不被机体利用,无热值,不致龋,不与食品中其它成分相互作用。

(2)本品稳定性高,在pH2.5~3.0溶液中,于温度20℃下贮存1年,保留值大于99%;在pH4~7溶液中,于温度30℃下贮存1年,保留值大于98%。

2.使用范围及使用量

我国《食品添加剂使用卫生标准》(GB 2760-1996)规定:可用于饮料、酱菜、复合调味料、配制酒、雪糕、冰淇淋、冰棍、糕点、饼干、面包、不加糖的甜罐头水果、最大用量为0.25g/kg;对改性口香糖、蜜饯为1.5g/kg;用作餐桌甜味剂为0.05g/包、片。

随便看

 

离鸟网收录3541549条中英文词条,其功能与新华字典、现代汉语词典、牛津高阶英汉词典等各类中英文词典类似,基本涵盖了全部常用中英文字词句的读音、释义及用法,是语言学习和写作的有利工具。

 

Copyright © 2004-2024 vtrois.com All Rights Reserved
更新时间:2026/4/8 17:52:20